You are viewing the site in preview mode

Skip to main content

Upper critical field Hc2 in Bechgaard salts (TMTSF)2PF6

Abstract

The symmetry of the superconductivity in Bechgaard salts is still unknown, though the triplet pairing has been established by Hc2 and NMR for (TMTSF)2PF6. The large upper critical field at T = 0K (Hc2 ~ 5 Tesla) both for H | | a MathType@MTEF@5@5@+=feaagaart1ev2aaatCvAUfKttLearuWrP9MDH5MBPbIqV92AaeXatLxBI9gBaebbnrfifHhDYfgasaacH8bkY=wiFfYlOipiY=Hhbbf9v8qqaqFr0xc9vqpe0di9q8qqpG0dHiVcFbIOFHK8Feei0lXdar=Jb9qqFfeaYRXxe9vr0=vr0=LqpWqaaeaabiGaciaacaqabeaabeqacmaaaOqaaiqbdIeaizaalaGaeiiFaWNaeiiFaWNafmyyaeMbaSaaaaa@307F@ and H | | b MathType@MTEF@5@5@+=feaagaart1ev2aaatCvAUfKttLearuWrP9MDH5MBPbIqV92AaeXatLxBI9gBaebbnrfifHhDYfgasaacH8bkY=wiFfYlOipiY=Hhbbf9v8qqaqFr0xc9vqpe0di9q8qqpG0dHiVcFbIOFHK8Feei0lXdar=Jb9qqFfeaYRXxe9vr0=vr0=LqpWqaaeaabiGaciaacaqabeaabeqacmaaaOqaaiqbdIeaizaalaGaeiiFaWNaeiiFaWNafmOyaiMbaSGbauaaaaa@308C@ also indicates strongly the triplet pairing.

Here we start with a low energy effective Hamiltonian and study the temperature dependence of the corresponding Hc2(T)'s.

The present analysis suggests that one chiral f-wave superconductor should be the most likely candidate near the upper critical field.

PACS Codes: 74.70.Kn ; 74.20.Rp; 74.25.Op.

Introduction

The Bechgaard salt (TMTSF)2 PF6 is the first organic superconductor discovered in 1980 [1]. Until very recently the superconductivity was believed to be conventional s-wave [2]. More recently the symmetry of the superconductivity has become one of the central issues [3]. The upper critical field at T = 0K in (TMTSF)2PF6 and (TMTSF)2ClO4 are clearly beyond the Pauli limit [47], suggesting triplet pairing. Recent NMR data [8, 9] from (TMTSF)2PF6 supports triplet superconductivity.

Here we shall first derive Hc2(T) for a variety of p-wave and f-wave superconductors [8]. Later, we will discuss the relation between the nuclear spin relaxation rate and the nodal lines.

Theoretical model

In the following we shall examine the upper critical field of these superconductors following the standard method initiated by Gor'kov [10] and extended by Luk'yanchuk and Mineev [11] for unconventional superconductors. Also we take the quasiparticle energy in the normal state as in the standard model for Bechgaard salts [2]

ξ ( k ) = v ( | k a | k F ) 2 t b cos ( b k ) 2 t c cos ( c k ) MathType@MTEF@5@5@+=feaagaart1ev2aaatCvAUfKttLearuWrP9MDH5MBPbIqV92AaeXatLxBI9gBaebbnrfifHhDYfgasaacH8bkY=MipeYlH8Hipec8Eeeu0xXdbba9frFj0xb9Lqpepeea0xd9q8qiYRWxGi6xij=hbbc9s8aq0=yqpe0xbbG8A8frFve9Fve9Fj0dmeaabaqaciGacaGaaeqabaqabeGadaaakeaacqaH+oaEcqGGOaakcqWGRbWAcqGGPaqkcqGH9aqpcqWG2bGDcqGGOaakcqGG8baFcqWGRbWAdaWgaaWcbaGaemyyaegabeaakiabcYha8jabgkHiTiabdUgaRnaaBaaaleaacqWGgbGraeqaaOGaeiykaKIaeyOeI0IaeGOmaiJaemiDaq3aaSbaaSqaaiabdkgaIbqabaGccyGGJbWycqGGVbWBcqGGZbWCcqGGOaakcuWGIbGygaWcaiqbdUgaRzaalaGaeiykaKIaeyOeI0IaeGOmaiJaemiDaq3aaSbaaSqaaiabdogaJbqabaGccyGGJbWycqGGVbWBcqGGZbWCcqGGOaakcuWGJbWygaWcaiqbdUgaRzaalaGaeiykaKcaaa@57C4@
(1)

with v : v b : v c ~ 1 : 1/10 : 1/300 and v = v a , v b = 2 t b b MathType@MTEF@5@5@+=feaagaart1ev2aaatCvAUfKttLearuWrP9MDH5MBPbIqV92AaeXatLxBI9gBaebbnrfifHhDYfgasaacH8bkY=wiFfYlOipiY=Hhbbf9v8qqaqFr0xc9vqpe0di9q8qqpG0dHiVcFbIOFHK8Feei0lXdar=Jb9qqFfeaYRXxe9vr0=vr0=LqpWqaaeaabiGaciaacaqabeaabeqacmaaaOqaamaakaaabaGaeGOmaidaleqaaOGaemiDaq3aaSbaaSqaaiabdkgaIbqabaGccqWGIbGyaaa@304F@ and v c = 2 t c c MathType@MTEF@5@5@+=feaagaart1ev2aaatCvAUfKttLearuWrP9MDH5MBPbIqV92AaeXatLxBI9gBaebbnrfifHhDYfgasaacH8bkY=wiFfYlOipiY=Hhbbf9v8qqaqFr0xc9vqpe0di9q8qqpG0dHiVcFbIOFHK8Feei0lXdar=Jb9qqFfeaYRXxe9vr0=vr0=LqpWqaaeaabiGaciaacaqabeaabeqacmaaaOqaamaakaaabaGaeGOmaidaleqaaOGaemiDaq3aaSbaaSqaaiabdogaJbqabaGccqWGJbWyaaa@3053@ ; for example, P. M. Grant [12] gives v c ~ 1 meV, t b ~ 26.2 meV and t a ~ 365 meV.

There are earlier analysis of Hc2 of Bechgaard salts starting from the one dimensional models [13, 14]. However, those models predict diverging Hc2(T) for T → 0K or the reentrance behaviour, which have not been observed in the experiments [4, 5]. The one dimensional model, like the one proposed by Lebed [13, 15] is valid only when 2t c < 2.14T c ~ 3 K, in Bechgaard salts it is believed that the transfer integral in the c direction is 2t c ~ 10 – 30 K while the superconducting transition temperature is T c ~ 1.2 K, so the 1D model is unrealistic. Also, the quasilinear T dependence of Hc2(T) in both (TMTSF)2PF6 and (TMTSF)2ClO4 is very unusual.

We consider a 3D model, though strongly anisotropic. We start with a continuum model, where the cristal anisotropy is incorporated only through the great anisotropies of the Fermi velocities. We have considered chiral superconductors because these symmetries have been shown to lead to higher Hc2s. In the absence of an applied magnetic field, we could obtain one of those chiral states as a combination of two different order parameters (with two different transition temperatures), but the external magnetic field breaks the time reversal symmetry, allowing the formation of a chiral state in the superconducting phase (see [16]).

Among the symmetries we have considered, the chiral f'-wave superconductor with Δ ( k ) ~ ( 1 2 s g n ( k a ) + i sin χ 2 ) cos χ 2 MathType@MTEF@5@5@+=feaagaart1ev2aaatCvAUfKttLearuWrP9MDH5MBPbIqV92AaeXatLxBI9gBaebbnrfifHhDYfgasaacH8bkY=wiFfYlOipiY=Hhbbf9v8qqaqFr0xc9vqpe0di9q8qqpG0dHiVcFbIOFHK8Feei0lXdar=Jb9qqFfeaYRXxe9vr0=vr0=LqpWqaaeaabiGaciaacaqabeaabeqacmaaaOqaaiabfs5aejabcIcaOiqbdUgaRzaalaGaeiykaKIaeiOFa43aaeWaaeaajuaGdaWcaaqaaiabigdaXaqaamaakaaabaGaeGOmaidabeaaaaGccqWGZbWCcqWGNbWzcqWGUbGBcqGGOaakcqWGRbWAdaWgaaWcbaGaemyyaegabeaakiabcMcaPiabgUcaRiabdMgaPjGbcohaZjabcMgaPjabc6gaUjabeE8aJnaaBaaaleaacqaIYaGmaeqaaaGccaGLOaGaayzkaaGagi4yamMaei4Ba8Maei4CamNaeq4Xdm2aaSbaaSqaaiabikdaYaqabaaaaa@4E27@ , looks most promising, where χ1 = b k MathType@MTEF@5@5@+=feaagaart1ev2aaatCvAUfKttLearuWrP9MDH5MBPbIqV92AaeXatLxBI9gBaebbnrfifHhDYfgasaacH8bkY=wiFfYlOipiY=Hhbbf9v8qqaqFr0xc9vqpe0di9q8qqpG0dHiVcFbIOFHK8Feei0lXdar=Jb9qqFfeaYRXxe9vr0=vr0=LqpWqaaeaabiGaciaacaqabeaabeqacmaaaOqaaiqbdkgaIzaalaGafm4AaSMbaSaaaaa@2DC7@ and χ2 = c k MathType@MTEF@5@5@+=feaagaart1ev2aaatCvAUfKttLearuWrP9MDH5MBPbIqV92AaeXatLxBI9gBaebbnrfifHhDYfgasaacH8bkY=wiFfYlOipiY=Hhbbf9v8qqaqFr0xc9vqpe0di9q8qqpG0dHiVcFbIOFHK8Feei0lXdar=Jb9qqFfeaYRXxe9vr0=vr0=LqpWqaaeaabiGaciaacaqabeaabeqacmaaaOqaaiqbdogaJzaalaGafm4AaSMbaSaaaaa@2DC9@ are b MathType@MTEF@5@5@+=feaagaart1ev2aaatCvAUfKttLearuWrP9MDH5MBPbIqV92AaeXatLxBI9gBaebbnrfifHhDYfgasaacH8bkY=wiFfYlOipiY=Hhbbf9v8qqaqFr0xc9vqpe0di9q8qqpG0dHiVcFbIOFHK8Feei0lXdar=Jb9qqFfeaYRXxe9vr0=vr0=LqpWqaaeaabiGaciaacaqabeaabeqacmaaaOqaaiqbdkgaIzaalaaaaa@2C56@ and c MathType@MTEF@5@5@+=feaagaart1ev2aaatCvAUfKttLearuWrP9MDH5MBPbIqV92AaeXatLxBI9gBaebbnrfifHhDYfgasaacH8bkY=wiFfYlOipiY=Hhbbf9v8qqaqFr0xc9vqpe0di9q8qqpG0dHiVcFbIOFHK8Feei0lXdar=Jb9qqFfeaYRXxe9vr0=vr0=LqpWqaaeaabiGaciaacaqabeaabeqacmaaaOqaaiqbdogaJzaalaaaaa@2C58@ the cristal vectors.

Moreover, if the superconductor belongs to one of the nodal superconductors [17, 18] and if nodes lay parallel to k c MathType@MTEF@5@5@+=feaagaart1ev2aaatCvAUfKttLearuWrP9MDH5MBPbIqV92AaeXatLxBI9gBaebbnrfifHhDYfgasaacH8bkY=wiFfYlOipiY=Hhbbf9v8qqaqFr0xc9vqpe0di9q8qqpG0dHiVcFbIOFHK8Feei0lXdar=Jb9qqFfeaYRXxe9vr0=vr0=LqpWqaaeaabiGaciaacaqabeaabeqacmaaaOqaaiqbdUgaRzaalaWaaSbaaSqaaiabdogaJbqabaaaaa@2DE3@ within the two sheets of the Fermi surface, the angle dependent nuclear spin relaxation rate T 1 1 MathType@MTEF@5@5@+=feaagaart1ev2aaatCvAUfKttLearuWrP9MDH5MBPbIqV92AaeXatLxBI9gBaebbnrfifHhDYfgasaacH8bkY=wiFfYlOipiY=Hhbbf9v8qqaqFr0xc9vqpe0di9q8qqpG0dHiVcFbIOFHK8Feei0lXdar=Jb9qqFfeaYRXxe9vr0=vr0=LqpWqaaeaabiGaciaacaqabeaabeqacmaaaOqaaiabdsfaunaaDaaaleaacqaIXaqmaeaacqGHsislcqaIXaqmaaaaaa@2F22@ in a magnetic field rotated within the b' - c* plane will tell the nodal directions.

Before proceeding, we show |(Δ( k MathType@MTEF@5@5@+=feaagaart1ev2aaatCvAUfKttLearuWrP9MDH5MBPbIqV92AaeXatLxBI9gBaebbnrfifHhDYfgasaacH8bkY=wiFfYlOipiY=Hhbbf9v8qqaqFr0xc9vqpe0di9q8qqpG0dHiVcFbIOFHK8Feei0lXdar=Jb9qqFfeaYRXxe9vr0=vr0=LqpWqaaeaabiGaciaacaqabeaabeqacmaaaOqaaiqbdUgaRzaalaaaaa@2C68@ )| of two chiral f-wave superconductors in Fig. 1a) and 1b).

Figure 1
figure1

Sketch of the order parameters. |Δ( k MathType@MTEF@5@5@+=feaagaart1ev2aaatCvAUfKttLearuWrP9MDH5MBPbIqV92AaeXatLxBI9gBaebbnrfifHhDYfgasaacH8bkY=wiFfYlOipiY=Hhbbf9v8qqaqFr0xc9vqpe0di9q8qqpG0dHiVcFbIOFHK8Feei0lXdar=Jb9qqFfeaYRXxe9vr0=vr0=LqpWqaaeaabiGaciaacaqabeaabeqacmaaaOqaaiqbdUgaRzaalaaaaa@2C68@ )| of chiral f-wave and chiral f'-wave SC are sketched in a) and b) respectively, where | Δ ( k ) | ~ [ ( 1 + cos 2 χ 1 ) ( 1 1 2 cos 2 χ 2 ) ] 1 2 MathType@MTEF@5@5@+=feaagaart1ev2aaatCvAUfKttLearuWrP9MDH5MBPbIqV92AaeXatLxBI9gBaebbnrfifHhDYfgasaacH8bkY=wiFfYlOipiY=Hhbbf9v8qqaqFr0xc9vqpe0di9q8qqpG0dHiVcFbIOFHK8Feei0lXdar=Jb9qqFfeaYRXxe9vr0=vr0=LqpWqaaeaabiGaciaacaqabeaabeqacmaaaOqaaiabcYha8jabfs5aejabcIcaOiabdUgaRjabcMcaPiabcYha8jabc6ha+naadmaabaGaeiikaGIaeGymaeJaey4kaSIagi4yamMaei4Ba8Maei4CamNaeGOmaiJaeq4Xdm2aaSbaaSqaaiabigdaXaqabaGccqGGPaqkcqGGOaakcqaIXaqmcqGHsisljuaGdaWcaaqaaiabigdaXaqaaiabikdaYaaakiGbcogaJjabc+gaVjabcohaZjabikdaYiabeE8aJnaaBaaaleaacqaIYaGmaeqaaOGaeiykaKcacaGLBbGaayzxaaWaaWbaaSqabKqbagaadaWcaaqaaiabigdaXaqaaiabikdaYaaaaaaaaa@5216@ and | Δ ( k ) | ~ [ ( 1 + cos 2 χ 2 ) ( 1 1 2 cos 2 χ 2 ) ] 1 2 MathType@MTEF@5@5@+=feaagaart1ev2aaatCvAUfKttLearuWrP9MDH5MBPbIqV92AaeXatLxBI9gBaebbnrfifHhDYfgasaacH8bkY=wiFfYlOipiY=Hhbbf9v8qqaqFr0xc9vqpe0di9q8qqpG0dHiVcFbIOFHK8Feei0lXdar=Jb9qqFfeaYRXxe9vr0=vr0=LqpWqaaeaabiGaciaacaqabeaabeqacmaaaOqaaiabcYha8jabfs5aejabcIcaOiabdUgaRjabcMcaPiabcYha8jabc6ha+naadmaabaGaeiikaGIaeGymaeJaey4kaSIagi4yamMaei4Ba8Maei4CamNaeGOmaiJaeq4Xdm2aaSbaaSqaaiabikdaYaqabaGccqGGPaqkcqGGOaakcqaIXaqmcqGHsisljuaGdaWcaaqaaiabigdaXaqaaiabikdaYaaakiGbcogaJjabc+gaVjabcohaZjabikdaYiabeE8aJnaaBaaaleaacqaIYaGmaeqaaOGaeiykaKcacaGLBbGaayzxaaWaaWbaaSqabKqbagaadaWcaaqaaiabigdaXaqaaiabikdaYaaaaaaaaa@5218@ for chiral f and chiral f'.

1 Results and discussion

Upper critical field for H | | b MathType@MTEF@5@5@+=feaagaart1ev2aaatCvAUfKttLearuWrP9MDH5MBPbIqV92AaeXatLxBI9gBaebbnrfifHhDYfgasaacH8bkY=wiFfYlOipiY=Hhbbf9v8qqaqFr0xc9vqpe0di9q8qqpG0dHiVcFbIOFHK8Feei0lXdar=Jb9qqFfeaYRXxe9vr0=vr0=LqpWqaaeaabiGaciaacaqabeaabeqacmaaaOqaaiqbdIeaizaalaGaeiiFaWNaeiiFaWNafmOyaiMbaSGbauaaaaa@308C@

In the following we neglect the spin component of Δ ( k ) MathType@MTEF@5@5@+=feaagaart1ev2aaatCvAUfKttLearuWrP9MDH5MBPbIqV92AaeXatLxBI9gBaebbnrfifHhDYfgasaacH8bkY=wiFfYlOipiY=Hhbbf9v8qqaqFr0xc9vqpe0di9q8qqpG0dHiVcFbIOFHK8Feei0lXdar=Jb9qqFfeaYRXxe9vr0=vr0=LqpWqaaeaabiGaciaacaqabeaabeqacmaaaOqaaiqbfs5aezaalaGaeiikaGIafm4AaSMbaSaacqGGPaqkaaa@2F92@ . Most likely the equal spin pairing is realised in Bechgaard salts as in Sr2RuO4 [3]. In this case the spin component is characterized by a unit vector d ^ MathType@MTEF@5@5@+=feaagaart1ev2aaatCvAUfKttLearuWrP9MDH5MBPbIqV92AaeXatLxBI9gBaebbnrfifHhDYfgasaacH8bkY=wiFfYlOipiY=Hhbbf9v8qqaqFr0xc9vqpe0di9q8qqpG0dHiVcFbIOFHK8Feei0lXdar=Jb9qqFfeaYRXxe9vr0=vr0=LqpWqaaeaabiGaciaacaqabeaabeqacmaaaOqaaiqbdsgaKzaajaaaaa@2C58@ . Also d ^ MathType@MTEF@5@5@+=feaagaart1ev2aaatCvAUfKttLearuWrP9MDH5MBPbIqV92AaeXatLxBI9gBaebbnrfifHhDYfgasaacH8bkY=wiFfYlOipiY=Hhbbf9v8qqaqFr0xc9vqpe0di9q8qqpG0dHiVcFbIOFHK8Feei0lXdar=Jb9qqFfeaYRXxe9vr0=vr0=LqpWqaaeaabiGaciaacaqabeaabeqacmaaaOqaaiqbdsgaKzaajaaaaa@2C58@ is most likely oriented parallel to c MathType@MTEF@5@5@+=feaagaart1ev2aaatCvAUfKttLearuWrP9MDH5MBPbIqV92AaeXatLxBI9gBaebbnrfifHhDYfgasaacH8bkY=wiFfYlOipiY=Hhbbf9v8qqaqFr0xc9vqpe0di9q8qqpG0dHiVcFbIOFHK8Feei0lXdar=Jb9qqFfeaYRXxe9vr0=vr0=LqpWqaaeaabiGaciaacaqabeaabeqacmaaaOqaaiqbdogaJzaalaWaaWbaaSqabeaacqGHxiIkaaaaaa@2D74@ . Let's assume d ^ | | c MathType@MTEF@5@5@+=feaagaart1ev2aaatCvAUfKttLearuWrP9MDH5MBPbIqV92AaeXatLxBI9gBaebbnrfifHhDYfgasaacH8bkY=wiFfYlOipiY=Hhbbf9v8qqaqFr0xc9vqpe0di9q8qqpG0dHiVcFbIOFHK8Feei0lXdar=Jb9qqFfeaYRXxe9vr0=vr0=LqpWqaaeaabiGaciaacaqabeaabeqacmaaaOqaaiqbdsgaKzaajaGaeiiFaWNaeiiFaWNafm4yamMbaSaadaahaaWcbeqaaiabgEHiQaaaaaa@31D5@ , though Hc2(T) is independent of d ^ MathType@MTEF@5@5@+=feaagaart1ev2aaatCvAUfKttLearuWrP9MDH5MBPbIqV92AaeXatLxBI9gBaebbnrfifHhDYfgasaacH8bkY=wiFfYlOipiY=Hhbbf9v8qqaqFr0xc9vqpe0di9q8qqpG0dHiVcFbIOFHK8Feei0lXdar=Jb9qqFfeaYRXxe9vr0=vr0=LqpWqaaeaabiGaciaacaqabeaabeqacmaaaOqaaiqbdsgaKzaajaaaaa@2C58@ as long as the spin orbit interaction is negligible. Experimental data from both UPt3 and Sr2RuO4 indicate that the spin-orbit interactions in these systems are not negligible but extremely small [3]. We consider a variety of triplet superconductors (see some of them in Fig. 1), most of them chiral variants, as we find in general that the chiral variant has larger Hc2 than the non-chiral one:

Simple p-wave SC: Δ ( k ) ~ s g n ( k a ) MathType@MTEF@5@5@+=feaagaart1ev2aaatCvAUfKttLearuWrP9MDH5MBPbIqV92AaeXatLxBI9gBaebbnrfifHhDYfgasaacH8bkY=wiFfYlOipiY=Hhbbf9v8qqaqFr0xc9vqpe0di9q8qqpG0dHiVcFbIOFHK8Feei0lXdar=Jb9qqFfeaYRXxe9vr0=vr0=LqpWqaaeaabiGaciaacaqabeaabeqacmaaaOqaaiqbfs5aezaalaGaeiikaGIaem4AaSMaeiykaKIaeiOFa4Naem4CamNaem4zaCMaemOBa4MaeiikaGIaem4AaS2aaSbaaSqaaiabdggaHbqabaGccqGGPaqkaaa@39C1@

Following [17, 18] the upper critical field is determined by

ln t = 0 d u sinh u ( 1 K 1 ) MathType@MTEF@5@5@+=feaagaart1ev2aaatCvAUfKttLearuWrP9MDH5MBPbIqV92AaeXatLxBI9gBaebbnrfifHhDYfgasaacH8bkY=MipeYlH8Hipec8Eeeu0xXdbba9frFj0xb9Lqpepeea0xd9q8qiYRWxGi6xij=hbbc9s8aq0=yqpe0xbbG8A8frFve9Fve9Fj0dmeaabaqaciGacaGaaeqabaqabeGadaaakeaacqGHsislcyGGSbaBcqGGUbGBcqWG0baDcqGH9aqpdaWdXaqaaKqbaoaalaaabaGaemizaqMaemyDauhabaGagi4CamNaeiyAaKMaeiOBa4MaeiiAaGMaemyDauhaaOGaeiikaGIaeGymaeJaeyOeI0Iaem4saS0aaSbaaSqaaiabigdaXaqabaGccqGGPaqkaSqaaiabicdaWaqaaiabg6HiLcqdcqGHRiI8aaaa@4541@
(2)
C ln t = 0 d u sinh u ( C K 2 ) MathType@MTEF@5@5@+=feaagaart1ev2aaatCvAUfKttLearuWrP9MDH5MBPbIqV92AaeXatLxBI9gBaebbnrfifHhDYfgasaacH8bkY=MipeYlH8Hipec8Eeeu0xXdbba9frFj0xb9Lqpepeea0xd9q8qiYRWxGi6xij=hbbc9s8aq0=yqpe0xbbG8A8frFve9Fve9Fj0dmeaabaqaciGacaGaaeqabaqabeGadaaakeaacqGHsislcqWGdbWqcyGGSbaBcqGGUbGBcqWG0baDcqGH9aqpdaWdXaqaaKqbaoaalaaabaGaemizaqMaemyDauhabaGagi4CamNaeiyAaKMaeiOBa4MaeiiAaGMaemyDauhaaOGaeiikaGIaem4qamKaeyOeI0Iaem4saS0aaSbaaSqaaiabikdaYaqabaGccqGGPaqkaSqaaiabicdaWaqaaiabg6HiLcqdcqGHRiI8aaaa@4671@
(3)

where

K 1 = e ρ u 2 | s | 2 ( 1 + 2 C ρ 2 u 4 s 4 ) MathType@MTEF@5@5@+=feaagaart1ev2aaatCvAUfKttLearuWrP9MDH5MBPbIqV92AaeXatLxBI9gBaebbnrfifHhDYfgasaacH8bkY=MipeYlH8Hipec8Eeeu0xXdbba9frFj0xb9Lqpepeea0xd9q8qiYRWxGi6xij=hbbc9s8aq0=yqpe0xbbG8A8frFve9Fve9Fj0dmeaabaqaciGacaGaaeqabaqabeGadaaakeaacqWGlbWsdaWgaaWcbaGaeGymaedabeaakiabg2da9iabgMYiHlabdwgaLnaaCaaaleqabaGaeyOeI0IaeqyWdiNaemyDau3aaWbaaWqabeaacqaIYaGmaaWccqGG8baFcqWGZbWCcqGG8baFdaahaaadbeqaaiabikdaYaaaaaGcdaqadaqaaiabigdaXiabgUcaRiabikdaYiabdoeadjabeg8aYnaaCaaaleqabaGaeGOmaidaaOGaemyDau3aaWbaaSqabeaacqaI0aanaaGccqWGZbWCdaahaaWcbeqaaiabisda0aaaaOGaayjkaiaawMcaaiabgQYiXdaa@4B09@
(4)
K 2 = e ρ u 2 | s | 2 ( 1 6 ρ 2 u 4 s 4 + C ( 1 8 ρ u 2 | s | 2 + 12 ρ 2 u q | s | 4 16 3 ρ 3 u 6 | s | 6 + 2 3 ρ 4 u 8 | s | 8 ) ) MathType@MTEF@5@5@+=feaagaart1ev2aaatCvAUfKttLearuWrP9MDH5MBPbIqV92AaeXatLxBI9gBaebbnrfifHhDYfgasaacH8bkY=MipeYlH8Hipec8Eeeu0xXdbba9frFj0xb9Lqpepeea0xd9q8qiYRWxGi6xij=hbbc9s8aq0=yqpe0xbbG8A8frFve9Fve9Fj0dmeaabaqaciGacaGaaeqabaqabeGadaaakeaacqWGlbWsdaWgaaWcbaGaeGOmaidabeaakiabg2da9iabgMYiHlabdwgaLnaaCaaaleqabaGaeyOeI0IaeqyWdiNaemyDau3aaWbaaWqabeaacqaIYaGmaaWccqGG8baFcqWGZbWCcqGG8baFdaahaaadbeqaaiabikdaYaaaaaGcdaqadaqaaKqbaoaalaaabaGaeGymaedabaGaeGOnaydaaOGaeqyWdi3aaWbaaSqabeaacqaIYaGmaaGccqWG1bqDdaahaaWcbeqaaiabisda0aaakiabdohaZnaaCaaaleqabaGaey4fIOIaeGinaqdaaOGaey4kaSIaem4qam0aaeWaaeaacqaIXaqmcqGHsislcqaI4aaocqaHbpGCcqWG1bqDdaahaaWcbeqaaiabikdaYaaakiabcYha8jabdohaZjabcYha8naaCaaaleqabaGaeGOmaidaaOGaey4kaSIaeGymaeJaeGOmaiJaeqyWdi3aaWbaaSqabeaacqaIYaGmaaGccqWG1bqDdaahaaWcbeqaaiabdghaXbaakiabcYha8jabdohaZjabcYha8naaCaaaleqabaGaeGinaqdaaOGaeyOeI0scfa4aaSaaaeaacqaIXaqmcqaI2aGnaeaacqaIZaWmaaGccqaHbpGCdaahaaWcbeqaaiabiodaZaaakiabdwha1naaCaaaleqabaGaeGOnaydaaOGaeiiFaWNaem4CamNaeiiFaW3aaWbaaSqabeaacqaI2aGnaaGccqGHRaWkjuaGdaWcaaqaaiabikdaYaqaaiabiodaZaaakiabeg8aYnaaCaaaleqabaGaeGinaqdaaOGaemyDau3aaWbaaSqabeaacqaI4aaoaaGccqGG8baFcqWGZbWCcqGG8baFdaahaaWcbeqaaiabiIda4aaaaOGaayjkaiaawMcaaaGaayjkaiaawMcaaiabgQYiXdaa@87AB@
(5)

and t = T T c , ρ = v a v c e H c 2 ( T ) 2 ( 2 π T ) 2 , s = ( 1 2 s g n ( k a ) + i sin χ 2 ) , χ 2 = c k MathType@MTEF@5@5@+=feaagaart1ev2aaatCvAUfKttLearuWrP9MDH5MBPbIqV92AaeXatLxBI9gBaebbnrfifHhDYfgasaacH8bkY=wiFfYlOipiY=Hhbbf9v8qqaqFr0xc9vqpe0di9q8qqpG0dHiVcFbIOFHK8Feei0lXdar=Jb9qqFfeaYRXxe9vr0=vr0=LqpWqaaeaabiGaciaacaqabeaabeqacmaaaOqaaiabdsha0jabg2da9KqbaoaalaaabaGaemivaqfabaGaemivaq1aaSbaaeaacqWGJbWyaeqaaaaakiabcYcaSiabeg8aYjabg2da9KqbaoaalaaabaGaemODay3aaSbaaeaacqWGHbqyaeqaaiabdAha2naaBaaabaGaem4yamgabeaacqWGLbqzcqWGibasdaWgaaqaaiabdogaJjabikdaYaqabaGaeiikaGIaemivaqLaeiykaKcabaGaeGOmaiJaeiikaGIaeGOmaiJaeqiWdaNaemivaqLaeiykaKYaaWbaaeqabaGaeGOmaidaaaaakiabcYcaSiabdohaZjabg2da9maabmaabaqcfa4aaSaaaeaacqaIXaqmaeaadaGcaaqaaiabikdaYaqabaaaaOGaem4CamNaem4zaCMaemOBa4MaeiikaGIaem4AaS2aaSbaaSqaaiabdggaHbqabaGccqGGPaqkcqGHRaWkcqWGPbqAcyGGZbWCcqGGPbqAcqGGUbGBcqaHhpWydaWgaaWcbaGaeGOmaidabeaaaOGaayjkaiaawMcaaiabcYcaSiabeE8aJnaaBaaaleaacqaIYaGmaeqaaOGaeyypa0Jafm4yamMbaSaacuWGRbWAgaWcaaaa@6C5B@ , and ... means average over χ2. Here v a , v c are the Fermi velocities parallel to the a axis and the c axis respectively.

Here we assumed that Δ( r MathType@MTEF@5@5@+=feaagaart1ev2aaatCvAUfKttLearuWrP9MDH5MBPbIqV92AaeXatLxBI9gBaebbnrfifHhDYfgasaacH8bkY=wiFfYlOipiY=Hhbbf9v8qqaqFr0xc9vqpe0di9q8qqpG0dHiVcFbIOFHK8Feei0lXdar=Jb9qqFfeaYRXxe9vr0=vr0=LqpWqaaeaabiGaciaacaqabeaabeqacmaaaOqaaiqbdkhaYzaalaaaaa@2C76@ ) is given by [17, 18]:

Δ ( r ) ~ ( 1 + C ( a + ) 4 ) MathType@MTEF@5@5@+=feaagaart1ev2aaatCvAUfKttLearuWrP9MDH5MBPbIqV92AaeXatLxBI9gBaebbnrfifHhDYfgasaacH8bkY=MipeYlH8Hipec8Eeeu0xXdbba9frFj0xb9Lqpepeea0xd9q8qiYRWxGi6xij=hbbc9s8aq0=yqpe0xbbG8A8frFve9Fve9Fj0dmeaabaqaciGacaGaaeqabaqabeGadaaakeaacqqHuoarcqGGOaakcuWGYbGCgaWcaiabcMcaPiabc6ha+naabmaabaGaeGymaeJaey4kaSIaem4qamKaeiikaGIaemyyae2aaWbaaSqabeaacqGHRaWkaaGccqGGPaqkdaahaaWcbeqaaiabisda0aaaaOGaayjkaiaawMcaaiabgQYiXdaa@3BE8@
(6)

where = C n e e B x 2 n k ( x + i z ) ( n k ) 2 4 e B MathType@MTEF@5@5@+=feaagaart1ev2aaatCvAUfKttLearuWrP9MDH5MBPbIqV92AaeXatLxBI9gBaebbnrfifHhDYfgasaacH8bkY=wiFfYlOipiY=Hhbbf9v8qqaqFr0xc9vqpe0di9q8qqpG0dHiVcFbIOFHK8Feei0lXdar=Jb9qqFfeaYRXxe9vr0=vr0=LqpWqaaeaabiGaciaacaqabeaabeqacmaaaOqaaiabgQYiXlabg2da9maaqaeabaGaem4qam0aaSbaaSqaaiabd6gaUbqabaGccqWGLbqzdaahaaWcbeqaaiabgkHiTiabdwgaLjabdkeacjabdIha4naaCaaameqabaGaeGOmaidaaSGaeyOeI0IaemOBa4Maem4AaSMaeiikaGIaemiEaGNaey4kaSIaemyAaKMaemOEaONaeiykaKIaeyOeI0scfa4aaSaaaeaacqGGOaakcqWGUbGBcqWGRbWAcqGGPaqkdaahaaqabeaacqaIYaGmaaaabaGaeGinaqJaemyzauMaemOqaieaaaaaaSqabeqaniabggHiLdaaaa@4EF7@ is the Abrikosov state [19], C n the occupancy of the nthLandau level (we assume there is only one occupied Landau level) and a + = 1 2 e B ( i z x + 2 i e H z ) MathType@MTEF@5@5@+=feaagaart1ev2aaatCvAUfKttLearuWrP9MDH5MBPbIqV92AaeXatLxBI9gBaebbnrfifHhDYfgasaacH8bkY=wiFfYlOipiY=Hhbbf9v8qqaqFr0xc9vqpe0di9q8qqpG0dHiVcFbIOFHK8Feei0lXdar=Jb9qqFfeaYRXxe9vr0=vr0=LqpWqaaeaabiGaciaacaqabeaabeqacmaaaOqaaiabdggaHnaaCaaaleqabaGaey4kaScaaOGaeyypa0tcfa4aaSaaaeaacqaIXaqmaeaadaGcaaqaaiabikdaYiabdwgaLjabdkeacbqabaaaaOWaaeWaaeaacqGHsislcqWGPbqAcqGHciITdaWgaaWcbaGaemOEaOhabeaakiabgkHiTiabgkGi2oaaBaaaleaacqWG4baEaeqaaOGaey4kaSIaeGOmaiJaemyAaKMaemyzauMaemisaGKaemOEaOhacaGLOaGaayzkaaaaaa@455F@ is the raising operator.

Then in the vicinity of t → 1 we find ρ = 2 7 ζ ( 3 ) ( ln t ) = 0.237697 ( ln t ) MathType@MTEF@5@5@+=feaagaart1ev2aaatCvAUfKttLearuWrP9MDH5MBPbIqV92AaeXatLxBI9gBaebbnrfifHhDYfgasaacH8bkY=wiFfYlOipiY=Hhbbf9v8qqaqFr0xc9vqpe0di9q8qqpG0dHiVcFbIOFHK8Feei0lXdar=Jb9qqFfeaYRXxe9vr0=vr0=LqpWqaaeaabiGaciaacaqabeaabeqacmaaaOqaaiabeg8aYjabg2da9KqbaoaalaaabaGaeGOmaidabaGaeG4naCJaeqOTdONaeiikaGIaeG4mamJaeiykaKcaaOGaeiikaGIaeyOeI0IagiiBaWMaeiOBa4MaemiDaqNaeiykaKIaeyypa0JaeGimaaJaeiOla4IaeGOmaiJaeG4mamJaeG4naCJaeGOnayJaeGyoaKJaeG4naCJaeiikaGIaeyOeI0IagiiBaWMaeiOBa4MaemiDaqNaeiykaKcaaa@4B12@ and C = 93 ζ ( 5 ) 647 ζ ( 3 ) ρ MathType@MTEF@5@5@+=feaagaart1ev2aaatCvAUfKttLearuWrP9MDH5MBPbIqV92AaeXatLxBI9gBaebbnrfifHhDYfgasaacH8bkY=wiFfYlOipiY=Hhbbf9v8qqaqFr0xc9vqpe0di9q8qqpG0dHiVcFbIOFHK8Feei0lXdar=Jb9qqFfeaYRXxe9vr0=vr0=LqpWqaaeaabiGaciaacaqabeaabeqacmaaaOqaaiabdoeadjabg2da9KqbaoaalaaabaGaeGyoaKJaeG4mamJaeqOTdONaeiikaGIaeGynauJaeiykaKcabaGaeGOnayJaeGinaqJaeG4naCJaeqOTdONaeiikaGIaeG4mamJaeiykaKcaaOGaeqyWdihaaa@3D1E@ .

For t → 0 on the other hand we obtain

ρ 0 = ρ 0 ( 0 ) = lim t 0 ρ t 2 = v a v c e H c 2 ( 0 ) 2 ( 2 π T c ) 2 = 0.1583 MathType@MTEF@5@5@+=feaagaart1ev2aaatCvAUfKttLearuWrP9MDH5MBPbIqV92AaeXatLxBI9gBaebbnrfifHhDYfgasaacH8bkY=MipeYlH8Hipec8Eeeu0xXdbba9frFj0xb9Lqpepeea0xd9q8qiYRWxGi6xij=hbbc9s8aq0=yqpe0xbbG8A8frFve9Fve9Fj0dmeaabaqaciGacaGaaeqabaqabeGadaaakeaacqaHbpGCdaWgaaWcbaGaeGimaadabeaakiabg2da9iabeg8aYnaaBaaaleaacqaIWaamaeqaaOGaeiikaGIaeGimaaJaeiykaKIaeyypa0ZaaCbeaeaacyGGSbaBcqGGPbqAcqGGTbqBaSqaaiabdsha0jabgkziUkabicdaWaqabaGccqaHbpGCcqWG0baDdaahaaWcbeqaaiabikdaYaaakiabg2da9KqbaoaalaaabaGaemODay3aaSbaaeaacqWGHbqyaeqaaiabdAha2naaBaaabaGaem4yamgabeaacqWGLbqzcqWGibasdaWgaaqaaiabdogaJjabikdaYaqabaGaeiikaGIaeGimaaJaeiykaKcabaGaeGOmaiJaeiikaGIaeGOmaiJaeqiWdaNaemivaq1aaSbaaeaacqWGJbWyaeqaaiabcMcaPmaaCaaabeqaaiabikdaYaaaaaGccqGH9aqpcqaIWaamcqGGUaGlcqaIXaqmcqaI1aqncqaI4aaocqaIZaWmaaa@606D@
(7)

and C = -0.031. From these we obtain

h ( 0 ) = H c 2 ( 0 ) H c 2 ( t ) t | t = 1 = 0.6659 MathType@MTEF@5@5@+=feaagaart1ev2aaatCvAUfKttLearuWrP9MDH5MBPbIqV92AaeXatLxBI9gBaebbnrfifHhDYfgasaacH8bkY=MipeYlH8Hipec8Eeeu0xXdbba9frFj0xb9Lqpepeea0xd9q8qiYRWxGi6xij=hbbc9s8aq0=yqpe0xbbG8A8frFve9Fve9Fj0dmeaabaqaciGacaGaaeqabaqabeGadaaakeaacqWGObaAcqGGOaakcqaIWaamcqGGPaqkcqGH9aqpjuaGdaWcaaqaaiabdIeainaaBaaabaGaem4yamMaeGOmaidabeaacqGGOaakcqaIWaamcqGGPaqkaeaadaWcaaqaaiabgkGi2kabdIeainaaBaaabaGaem4yamMaeGOmaidabeaacqGGOaakcqWG0baDcqGGPaqkaeaacqGHciITcqWG0baDaaGaeiiFaW3aaSbaaeaacqWG0baDcqGH9aqpcqaIXaqmaeqaaaaakiabg2da9iabicdaWiabc6caUiabiAda2iabiAda2iabiwda1iabiMda5aaa@4CCF@
(8)

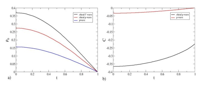
Both ρ0(t) and C(t) are evaluated numerically and shown in Fig. 2a) and b) respectively. Here ρ0(t) = t2ρ(t) = v a v c eHc2(t)/2(2πT c )2.

Figure 2
figure2

Upper critical field for H | | b MathType@MTEF@5@5@+=feaagaart1ev2aaatCvAUfKttLearuWrP9MDH5MBPbIqV92AaeXatLxBI9gBaebbnrfifHhDYfgasaacH8bkY=wiFfYlOipiY=Hhbbf9v8qqaqFr0xc9vqpe0di9q8qqpG0dHiVcFbIOFHK8Feei0lXdar=Jb9qqFfeaYRXxe9vr0=vr0=LqpWqaaeaabiGaciaacaqabeaabeqacmaaaOqaaiqbdIeaizaalaGaeiiFaWNaeiiFaWNafmOyaiMbaSGbauaaaaa@308C@ Normalised Hc2(t) and C(t) for H | | b MathType@MTEF@5@5@+=feaagaart1ev2aaatCvAUfKttLearuWrP9MDH5MBPbIqV92AaeXatLxBI9gBaebbnrfifHhDYfgasaacH8bkY=wiFfYlOipiY=Hhbbf9v8qqaqFr0xc9vqpe0di9q8qqpG0dHiVcFbIOFHK8Feei0lXdar=Jb9qqFfeaYRXxe9vr0=vr0=LqpWqaaeaabiGaciaacaqabeaabeqacmaaaOqaaiqbdIeaizaalaGaeiiFaWNaeiiFaWNafmOyaiMbaSGbauaaaaa@308C@ are shown in a) and b) respectively. Here black, red and blue lines are chiral f'-wave, chiral p-wave and simple p-wave respectively. Chiral f-wave has the same Hc2(t) as chiral p-wave.

Chiral p-wave SC: Δ ( k ) = 1 / 2 s g n ( k a ) + i sin ( χ 2 ) MathType@MTEF@5@5@+=feaagaart1ev2aaatCvAUfKttLearuWrP9MDH5MBPbIqV92AaeXatLxBI9gBaebbnrfifHhDYfgasaacH8bkY=wiFfYlOipiY=Hhbbf9v8qqaqFr0xc9vqpe0di9q8qqpG0dHiVcFbIOFHK8Feei0lXdar=Jb9qqFfeaYRXxe9vr0=vr0=LqpWqaaeaabiGaciaacaqabeaabeqacmaaaOqaaiqbfs5aezaalaGaeiikaGIaem4AaSMaeiykaKIaeyypa0JaeGymaeJaei4la8YaaOaaaeaacqaIYaGmaSqabaGccqWGZbWCcqWGNbWzcqWGUbGBcqGGOaakcqWGRbWAdaWgaaWcbaGaemyyaegabeaakiabcMcaPiabgUcaRiabdMgaPjGbcohaZjabcMgaPjabc6gaUjabcIcaOiabeE8aJnaaBaaaleaacqaIYaGmaeqaaOGaeiykaKcaaa@472C@

Here 1 2 s g n ( k a ) + i sin ( χ 2 ) MathType@MTEF@5@5@+=feaagaart1ev2aaatCvAUfKttLearuWrP9MDH5MBPbIqV92AaeXatLxBI9gBaebbnrfifHhDYfgasaacH8bkY=wiFfYlOipiY=Hhbbf9v8qqaqFr0xc9vqpe0di9q8qqpG0dHiVcFbIOFHK8Feei0lXdar=Jb9qqFfeaYRXxe9vr0=vr0=LqpWqaaeaabiGaciaacaqabeaabeqacmaaaOqaaKqbaoaalaaabaGaeGymaedabaWaaOaaaeaacqaIYaGmaeqaaaaakiabdohaZjabdEgaNjabd6gaUjabcIcaOiabdUgaRnaaBaaaleaacqWGHbqyaeqaaOGaeiykaKIaey4kaSIaemyAaKMagi4CamNaeiyAaKMaeiOBa4MaeiikaGIaeq4Xdm2aaSbaaSqaaiabikdaYaqabaGccqGGPaqkaaa@414A@ is the analogue of eιϕif in the 3D systems in the quasi 1D system.

For a chiral state the Abrikosov function is written as [20]:

Δ ( r , k ) ~ ( s + C s ( a ) 2 ) MathType@MTEF@5@5@+=feaagaart1ev2aaatCvAUfKttLearuWrP9MDH5MBPbIqV92AaeXatLxBI9gBaebbnrfifHhDYfgasaacH8bkY=MipeYlH8Hipec8Eeeu0xXdbba9frFj0xb9Lqpepeea0xd9q8qiYRWxGi6xij=hbbc9s8aq0=yqpe0xbbG8A8frFve9Fve9Fj0dmeaabaqaciGacaGaaeqabaqabeGadaaakeaacqqHuoarcqGGOaakcuWGYbGCgaWcaiabcYcaSiqbdUgaRzaalaGaeiykaKIaeiOFa4NaeiikaGIaem4CamNaey4kaSIaem4qamKaem4Cam3aaWbaaSqabeaacqGHxiIkaaGccqGGOaakcqWGHbqydaahaaWcbeqaaiabcccigcaakiabcMcaPmaaCaaaleqabaGaeGOmaidaaOGaeiykaKIaeyOkJepaaa@41DE@
(9)

where s = 1 2 s g n ( k a ) + i sin ( χ 2 ) MathType@MTEF@5@5@+=feaagaart1ev2aaatCvAUfKttLearuWrP9MDH5MBPbIqV92AaeXatLxBI9gBaebbnrfifHhDYfgasaacH8bkY=wiFfYlOipiY=Hhbbf9v8qqaqFr0xc9vqpe0di9q8qqpG0dHiVcFbIOFHK8Feei0lXdar=Jb9qqFfeaYRXxe9vr0=vr0=LqpWqaaeaabiGaciaacaqabeaabeqacmaaaOqaaiabdohaZjabg2da9KqbaoaalaaabaGaeGymaedabaWaaOaaaeaacqaIYaGmaeqaaaaakiabdohaZjabdEgaNjabd6gaUjabcIcaOiabdUgaRnaaBaaaleaacqWGHbqyaeqaaOGaeiykaKIaey4kaSIaemyAaKMagi4CamNaeiyAaKMaeiOBa4MaeiikaGIaeq4Xdm2aaSbaaSqaaiabikdaYaqabaGccqGGPaqkaaa@43BF@ . Then we obtain eq. 2–3 with

K 1 = e ρ u 2 | s | 2 ( | s | 2 2 C s 4 ) MathType@MTEF@5@5@+=feaagaart1ev2aaatCvAUfKttLearuWrP9MDH5MBPbIqV92AaeXatLxBI9gBaebbnrfifHhDYfgasaacH8bkY=MipeYlH8Hipec8Eeeu0xXdbba9frFj0xb9Lqpepeea0xd9q8qiYRWxGi6xij=hbbc9s8aq0=yqpe0xbbG8A8frFve9Fve9Fj0dmeaabaqaciGacaGaaeqabaqabeGadaaakeaacqWGlbWsdaWgaaWcbaGaeGymaedabeaakiabg2da9iabgMYiHlabdwgaLnaaCaaaleqabaGaeyOeI0IaeqyWdiNaemyDau3aaWbaaWqabeaacqaIYaGmaaWccqGG8baFcqWGZbWCcqGG8baFdaahaaadbeqaaiabikdaYaaaaaGcdaqadaqaaiabcYha8jabdohaZjabcYha8naaCaaaleqabaGaeGOmaidaaOGaeyOeI0IaeGOmaiJaem4qamKaem4Cam3aaWbaaSqabeaacqaI0aanaaaakiaawIcacaGLPaaacqGHQms8aaa@4A33@
(10)
K 2 = e ρ u 2 | s | 2 ( s 4 + C | s | 2 ( 1 4 ρ u 2 | s | 2 + 2 ρ 2 u 4 | s | 4 ) ) MathType@MTEF@5@5@+=feaagaart1ev2aaatCvAUfKttLearuWrP9MDH5MBPbIqV92AaeXatLxBI9gBaebbnrfifHhDYfgasaacH8bkY=MipeYlH8Hipec8Eeeu0xXdbba9frFj0xb9Lqpepeea0xd9q8qiYRWxGi6xij=hbbc9s8aq0=yqpe0xbbG8A8frFve9Fve9Fj0dmeaabaqaciGacaGaaeqabaqabeGadaaakeaacqWGlbWsdaWgaaWcbaGaeGOmaidabeaakiabg2da9iabgMYiHlabdwgaLnaaCaaaleqabaGaeyOeI0IaeqyWdiNaemyDau3aaWbaaWqabeaacqaIYaGmaaWccqGG8baFcqWGZbWCcqGG8baFdaahaaadbeqaaiabikdaYaaaaaGcdaqadaqaaiabgkHiTiabdohaZnaaCaaaleqabaGaeGinaqdaaOGaey4kaSIaem4qamKaeiiFaWNaem4CamNaeiiFaW3aaWbaaSqabeaacqaIYaGmaaGcdaqadaqaaiabigdaXiabgkHiTiabisda0iabeg8aYjabdwha1naaCaaaleqabaGaeGOmaidaaOGaeiiFaWNaem4CamNaeiiFaW3aaWbaaSqabeaacqaIYaGmaaGccqGHRaWkcqaIYaGmcqaHbpGCdaahaaWcbeqaaiabikdaYaaakiabdwha1naaCaaaleqabaGaeGinaqdaaOGaeiiFaWNaem4CamNaeiiFaW3aaWbaaSqabeaacqaI0aanaaaakiaawIcacaGLPaaaaiaawIcacaGLPaaacqGHQms8aaa@656E@
(11)

and the same expressions for t, ρ,...

For t → 1 we find C = 1 1.5 = 0.2247 MathType@MTEF@5@5@+=feaagaart1ev2aaatCvAUfKttLearuWrP9MDH5MBPbIqV92AaeXatLxBI9gBaebbnrfifHhDYfgasaacH8bkY=wiFfYlOipiY=Hhbbf9v8qqaqFr0xc9vqpe0di9q8qqpG0dHiVcFbIOFHK8Feei0lXdar=Jb9qqFfeaYRXxe9vr0=vr0=LqpWqaaeaabiGaciaacaqabeaabeqacmaaaOqaaiabdoeadjabg2da9iabigdaXiabgkHiTmaakaaabaGaeGymaeJaeiOla4IaeGynaudaleqaaOGaeyypa0JaeyOeI0IaeGimaaJaeiOla4IaeGOmaiJaeGOmaiJaeGinaqJaeG4naCdaaa@3975@ and ρ = 0.3838(-ln t).

On the other hand, for t → 0 we obtain C = -0.3660 and ρ0 = 0.27343.

From these we obtain h(0) = 0.71324. We obtain ρ(t) and C(t) numerically. They are shown in Fig. 2a) and 2b) respectively.

Chiral f-wave SC: Δ ^ ( k ) ~ d ^ s cos χ 1 MathType@MTEF@5@5@+=feaagaart1ev2aaatCvAUfKttLearuWrP9MDH5MBPbIqV92AaeXatLxBI9gBaebbnrfifHhDYfgasaacH8bkY=wiFfYlOipiY=Hhbbf9v8qqaqFr0xc9vqpe0di9q8qqpG0dHiVcFbIOFHK8Feei0lXdar=Jb9qqFfeaYRXxe9vr0=vr0=LqpWqaaeaabiGaciaacaqabeaabeqacmaaaOqaaiqbfs5aezaajaGaeiikaGIaem4AaSMaeiykaKIaeiOFa4NafmizaqMbaKaacqWGZbWCcyGGJbWycqGGVbWBcqGGZbWCcqaHhpWydaWgaaWcbaGaeGymaedabeaaaaa@3AC9@

Hc2(t) is determined from eq. 2–3 where now:

K 1 = ( 1 + cos 2 χ 1 ) e ρ u 2 | s | 2 ( | s | 2 2 ρ u 2 s 4 ) MathType@MTEF@5@5@+=feaagaart1ev2aaatCvAUfKttLearuWrP9MDH5MBPbIqV92AaeXatLxBI9gBaebbnrfifHhDYfgasaacH8bkY=MipeYlH8Hipec8Eeeu0xXdbba9frFj0xb9Lqpepeea0xd9q8qiYRWxGi6xij=hbbc9s8aq0=yqpe0xbbG8A8frFve9Fve9Fj0dmeaabaqaciGacaGaaeqabaqabeGadaaakeaacqWGlbWsdaWgaaWcbaGaeGymaedabeaakiabg2da9iabgMYiHlabcIcaOiabigdaXiabgUcaRiGbcogaJjabc+gaVjabcohaZjabikdaYiabeE8aJnaaBaaaleaacqaIXaqmaeqaaOGaeiykaKIaemyzau2aaWbaaSqabeaacqGHsislcqaHbpGCcqWG1bqDdaahaaadbeqaaiabikdaYaaaliabcYha8jabdohaZjabcYha8naaCaaameqabaGaeGOmaidaaaaakmaabmaabaGaeiiFaWNaem4CamNaeiiFaW3aaWbaaSqabeaacqaIYaGmaaGccqGHsislcqaIYaGmcqaHbpGCcqWG1bqDdaahaaWcbeqaaiabikdaYaaakiabdohaZnaaCaaaleqabaGaeGinaqdaaaGccaGLOaGaayzkaaGaeyOkJepaaa@58F7@
(12)
K 2 = ( 1 + cos 2 χ 1 ) e ρ u 2 | s | 2 ( ρ u 2 s 4 + C | s | 2 ( 1 4 ρ u 2 | s | 2 + 2 ρ 2 u 4 | s | 4 ) ) MathType@MTEF@5@5@+=feaagaart1ev2aaatCvAUfKttLearuWrP9MDH5MBPbIqV92AaeXatLxBI9gBaebbnrfifHhDYfgasaacH8bkY=MipeYlH8Hipec8Eeeu0xXdbba9frFj0xb9Lqpepeea0xd9q8qiYRWxGi6xij=hbbc9s8aq0=yqpe0xbbG8A8frFve9Fve9Fj0dmeaabaqaciGacaGaaeqabaqabeGadaaakeaacqWGlbWsdaWgaaWcbaGaeGOmaidabeaakiabg2da9iabgMYiHlabcIcaOiabigdaXiabgUcaRiGbcogaJjabc+gaVjabcohaZjabikdaYiabeE8aJnaaBaaaleaacqaIXaqmaeqaaOGaeiykaKIaemyzau2aaWbaaSqabeaacqGHsislcqaHbpGCcqWG1bqDdaahaaadbeqaaiabikdaYaaaliabcYha8jabdohaZjabcYha8naaCaaameqabaGaeGOmaidaaaaakmaabmaabaGaeyOeI0IaeqyWdiNaemyDau3aaWbaaSqabeaacqaIYaGmaaGccqWGZbWCdaahaaWcbeqaaiabisda0aaakiabgUcaRiabdoeadjabcYha8jabdohaZjabcYha8naaCaaaleqabaGaeGOmaidaaOWaaeWaaeaacqaIXaqmcqGHsislcqaI0aancqaHbpGCcqWG1bqDdaahaaWcbeqaaiabikdaYaaakiabcYha8jabdohaZjabcYha8naaCaaaleqabaGaeGOmaidaaOGaey4kaSIaeGOmaiJaeqyWdi3aaWbaaSqabeaacqaIYaGmaaGccqWG1bqDdaahaaWcbeqaaiabisda0aaakiabcYha8jabdohaZjabcYha8naaCaaaleqabaGaeGinaqdaaaGccaGLOaGaayzkaaaacaGLOaGaayzkaaGaeyOkJepaaa@7541@
(13)

Here now ... MathType@MTEF@5@5@+=feaagaart1ev2aaatCvAUfKttLearuWrP9MDH5MBPbIqV92AaeXatLxBI9gBaebbnrfifHhDYfgasaacH8bkY=wiFfYlOipiY=Hhbbf9v8qqaqFr0xc9vqpe0di9q8qqpG0dHiVcFbIOFHK8Feei0lXdar=Jb9qqFfeaYRXxe9vr0=vr0=LqpWqaaeaabiGaciaacaqabeaabeqacmaaaOqaamaaamaabaGaeiOla4IaeiOla4IaeiOla4cacaGLPmIaayPkJaaaaa@2F73@ means the average over both χ1 and χ2. As in previous sections, s = 1 2 s g n ( k a ) + i sin ( χ 2 ) MathType@MTEF@5@5@+=feaagaart1ev2aaatCvAUfKttLearuWrP9MDH5MBPbIqV92AaeXatLxBI9gBaebbnrfifHhDYfgasaacH8bkY=wiFfYlOipiY=Hhbbf9v8qqaqFr0xc9vqpe0di9q8qqpG0dHiVcFbIOFHK8Feei0lXdar=Jb9qqFfeaYRXxe9vr0=vr0=LqpWqaaeaabiGaciaacaqabeaabeqacmaaaOqaaiabdohaZjabg2da9KqbaoaalaaabaGaeGymaedabaWaaOaaaeaacqaIYaGmaeqaaaaakiabdohaZjabdEgaNjabd6gaUjabcIcaOiabdUgaRnaaBaaaleaacqWGHbqyaeqaaOGaeiykaKIaey4kaSIaemyAaKMagi4CamNaeiyAaKMaeiOBa4MaeiikaGIaeq4Xdm2aaSbaaSqaaiabikdaYaqabaGccqGGPaqkaaa@43BF@ (s depends on the direction of the magnetic field). Then it is easy to see that the chiral f-wave SC has the same Hc2(t) and C(t) as the chiral p-wave SC, since the variable χ1 is readily integrated out.

Chiral f'-wave SC: Δ ^ ( k ) ~ d ^ s cos χ 2 MathType@MTEF@5@5@+=feaagaart1ev2aaatCvAUfKttLearuWrP9MDH5MBPbIqV92AaeXatLxBI9gBaebbnrfifHhDYfgasaacH8bkY=wiFfYlOipiY=Hhbbf9v8qqaqFr0xc9vqpe0di9q8qqpG0dHiVcFbIOFHK8Feei0lXdar=Jb9qqFfeaYRXxe9vr0=vr0=LqpWqaaeaabiGaciaacaqabeaabeqacmaaaOqaaiqbfs5aezaajaGaeiikaGIaem4AaSMaeiykaKIaeiOFa4NafmizaqMbaKaacqWGZbWCcyGGJbWycqGGVbWBcqGGZbWCcqaHhpWydaWgaaWcbaGaeGOmaidabeaaaaa@3ACB@

Now we have a set of equations similar to the chiral f-wave except (1 + cos 2χ1) in both eqs. 13 has to be replaced by 4 3 MathType@MTEF@5@5@+=feaagaart1ev2aaatCvAUfKttLearuWrP9MDH5MBPbIqV92AaeXatLxBI9gBaebbnrfifHhDYfgasaacH8bkY=wiFfYlOipiY=Hhbbf9v8qqaqFr0xc9vqpe0di9q8qqpG0dHiVcFbIOFHK8Feei0lXdar=Jb9qqFfeaYRXxe9vr0=vr0=LqpWqaaeaabiGaciaacaqabeaabeqacmaaaOqaaKqbaoaalaaabaGaeGinaqdabaGaeG4mamdaaaaa@2D7F@ (1 + cos 2χ1). We obtain, for t → 1, C = -0.2247 and ρ = 0.5181(-ln t). On the other hand, for t → 0 we find C = -0.3660 and ρ0 = 0.3734.

We show ρ0 and C(t) of the chiral f'-wave in Fig. 2a) and 2b) respectively.

Note that C(t) is the same for three chiral states (chiral p-wave, chiral f-wave and chiral f'-wave) as well as chiral p-wave studied in [20].

Therefore for the magnetic field H | | b MathType@MTEF@5@5@+=feaagaart1ev2aaatCvAUfKttLearuWrP9MDH5MBPbIqV92AaeXatLxBI9gBaebbnrfifHhDYfgasaacH8bkY=wiFfYlOipiY=Hhbbf9v8qqaqFr0xc9vqpe0di9q8qqpG0dHiVcFbIOFHK8Feei0lXdar=Jb9qqFfeaYRXxe9vr0=vr0=LqpWqaaeaabiGaciaacaqabeaabeqacmaaaOqaaiqbdIeaizaalaGaeiiFaWNaeiiFaWNafmOyaiMbaSGbauaaaaa@308C@ , the chiral f'-wave have the largest Hc2(t) if we assume T c and v, v c are the same. Also Hc2(t) of these states are closest to the observation.

Upper critical field for H | | a MathType@MTEF@5@5@+=feaagaart1ev2aaatCvAUfKttLearuWrP9MDH5MBPbIqV92AaeXatLxBI9gBaebbnrfifHhDYfgasaacH8bkY=wiFfYlOipiY=Hhbbf9v8qqaqFr0xc9vqpe0di9q8qqpG0dHiVcFbIOFHK8Feei0lXdar=Jb9qqFfeaYRXxe9vr0=vr0=LqpWqaaeaabiGaciaacaqabeaabeqacmaaaOqaaiqbdIeaizaalaGaeiiFaWNaeiiFaWNafmyyaeMbaSaaaaa@307F@

In this section, we assume the applied magnetic field runs parallel to the direction defined by a MathType@MTEF@5@5@+=feaagaart1ev2aaatCvAUfKttLearuWrP9MDH5MBPbIqV92AaeXatLxBI9gBaebbnrfifHhDYfgasaacH8bkY=wiFfYlOipiY=Hhbbf9v8qqaqFr0xc9vqpe0di9q8qqpG0dHiVcFbIOFHK8Feei0lXdar=Jb9qqFfeaYRXxe9vr0=vr0=LqpWqaaeaabiGaciaacaqabeaabeqacmaaaOqaaiqbdggaHzaalaaaaa@2C54@ . We calculate the upper critical field in these circunstances for different symmetries of the order parameter, following the same procedure as the one we used in previous section.

Simple p-wave SC: Δ ( k ) = s g n ( k a ) MathType@MTEF@5@5@+=feaagaart1ev2aaatCvAUfKttLearuWrP9MDH5MBPbIqV92AaeXatLxBI9gBaebbnrfifHhDYfgasaacH8bkY=wiFfYlOipiY=Hhbbf9v8qqaqFr0xc9vqpe0di9q8qqpG0dHiVcFbIOFHK8Feei0lXdar=Jb9qqFfeaYRXxe9vr0=vr0=LqpWqaaeaabiGaciaacaqabeaabeqacmaaaOqaaiabfs5aejabcIcaOiqbdUgaRzaalaGaeiykaKIaeyypa0Jaem4CamNaem4zaCMaemOBa4MaeiikaGIaem4AaS2aaSbaaSqaaiabdggaHbqabaGccqGGPaqkaaa@3943@

The equation for Hc2(t) is given by [17, 18] and can be written as in eq. 2–3 with:

K 1 = e ρ u 2 | s | 2 ( 1 + 2 C ρ 2 u 4 s 4 ) MathType@MTEF@5@5@+=feaagaart1ev2aaatCvAUfKttLearuWrP9MDH5MBPbIqV92AaeXatLxBI9gBaebbnrfifHhDYfgasaacH8bkY=MipeYlH8Hipec8Eeeu0xXdbba9frFj0xb9Lqpepeea0xd9q8qiYRWxGi6xij=hbbc9s8aq0=yqpe0xbbG8A8frFve9Fve9Fj0dmeaabaqaciGacaGaaeqabaqabeGadaaakeaacqWGlbWsdaWgaaWcbaGaeGymaedabeaakiabg2da9iabgMYiHlabdwgaLnaaCaaaleqabaGaeyOeI0IaeqyWdiNaemyDau3aaWbaaWqabeaacqaIYaGmaaWccqGG8baFcqWGZbWCcqGG8baFdaahaaadbeqaaiabikdaYaaaaaGcdaqadaqaaiabigdaXiabgUcaRiabikdaYiabdoeadjabeg8aYnaaCaaaleqabaGaeGOmaidaaOGaemyDau3aaWbaaSqabeaacqaI0aanaaGccqWGZbWCdaahaaWcbeqaaiabisda0aaaaOGaayjkaiaawMcaaiabgQYiXdaa@4B09@
(14)
K 2 = e ρ u 2 | s | 2 ( ρ 2 u 2 s 4 + C ( 1 8 ρ u 2 | s | 2 + 12 ρ 2 u 4 | s | 4 16 3 ρ 3 u 6 | s | 6 + 2 3 ρ 4 u 8 | s | 8 ) ) MathType@MTEF@5@5@+=feaagaart1ev2aaatCvAUfKttLearuWrP9MDH5MBPbIqV92AaeXatLxBI9gBaebbnrfifHhDYfgasaacH8bkY=MipeYlH8Hipec8Eeeu0xXdbba9frFj0xb9Lqpepeea0xd9q8qiYRWxGi6xij=hbbc9s8aq0=yqpe0xbbG8A8frFve9Fve9Fj0dmeaabaqaciGacaGaaeqabaqabeGadaaakeaacqWGlbWsdaWgaaWcbaGaeGOmaidabeaakiabg2da9iabgMYiHlabdwgaLnaaCaaaleqabaGaeyOeI0IaeqyWdiNaemyDau3aaWbaaWqabeaacqaIYaGmaaWccqGG8baFcqWGZbWCcqGG8baFdaahaaadbeqaaiabikdaYaaaaaGcdaqadaqaaiabeg8aYnaaCaaaleqabaGaeGOmaidaaOGaemyDau3aaWbaaSqabeaacqaIYaGmaaGccqWGZbWCdaahaaWcbeqaaiabisda0aaakiabgUcaRiabdoeadnaabmaabaGaeGymaeJaeyOeI0IaeGioaGJaeqyWdiNaemyDau3aaWbaaSqabeaacqaIYaGmaaGccqGG8baFcqWGZbWCcqGG8baFdaahaaWcbeqaaiabikdaYaaakiabgUcaRiabigdaXiabikdaYiabeg8aYnaaCaaaleqabaGaeGOmaidaaOGaemyDau3aaWbaaSqabeaacqaI0aanaaGccqGG8baFcqWGZbWCcqGG8baFdaahaaWcbeqaaiabisda0aaakiabgkHiTKqbaoaalaaabaGaeGymaeJaeGOnaydabaGaeG4mamdaaOGaeqyWdi3aaWbaaSqabeaacqaIZaWmaaGccqWG1bqDdaahaaWcbeqaaiabiAda2aaakiabcYha8jabdohaZjabcYha8naaCaaaleqabaGaeGOnaydaaOGaey4kaSscfa4aaSaaaeaacqaIYaGmaeaacqaIZaWmaaGccqaHbpGCdaahaaWcbeqaaiabisda0aaakiabdwha1naaCaaaleqabaGaeGioaGdaaOGaeiiFaWNaem4CamNaeiiFaW3aaWbaaSqabeaacqaI4aaoaaaakiaawIcacaGLPaaaaiaawIcacaGLPaaacqGHQms8aaa@83B1@
(15)

where t = T T c , ρ = v b v c e H c 2 ( t ) 2 ( 2 π T ) 2 MathType@MTEF@5@5@+=feaagaart1ev2aaatCvAUfKttLearuWrP9MDH5MBPbIqV92AaeXatLxBI9gBaebbnrfifHhDYfgasaacH8bkY=wiFfYlOipiY=Hhbbf9v8qqaqFr0xc9vqpe0di9q8qqpG0dHiVcFbIOFHK8Feei0lXdar=Jb9qqFfeaYRXxe9vr0=vr0=LqpWqaaeaabiGaciaacaqabeaabeqacmaaaOqaaiabdsha0jabg2da9KqbaoaalaaabaGaemivaqfabaGaemivaq1aaSbaaeaacqWGJbWyaeqaaaaakiabcYcaSiabeg8aYjabg2da9KqbaoaalaaabaGaemODay3aaSbaaeaacqWGIbGyaeqaaiabdAha2naaBaaabaGaem4yamgabeaacqWGLbqzcqWGibasdaWgaaqaaiabdogaJjabikdaYaqabaGaeiikaGIaemiDaqNaeiykaKcabaGaeGOmaiJaeiikaGIaeGOmaiJaeqiWdaNaemivaqLaeiykaKYaaWbaaeqabaGaeGOmaidaaaaaaaa@4B7D@ and s = (sin χ1 + ι sin χ2) with χ1 = b k MathType@MTEF@5@5@+=feaagaart1ev2aaatCvAUfKttLearuWrP9MDH5MBPbIqV92AaeXatLxBI9gBaebbnrfifHhDYfgasaacH8bkY=wiFfYlOipiY=Hhbbf9v8qqaqFr0xc9vqpe0di9q8qqpG0dHiVcFbIOFHK8Feei0lXdar=Jb9qqFfeaYRXxe9vr0=vr0=LqpWqaaeaabiGaciaacaqabeaabeqacmaaaOqaaiqbdkgaIzaalaGafm4AaSMbaSaaaaa@2DC7@ and χ2 = c k MathType@MTEF@5@5@+=feaagaart1ev2aaatCvAUfKttLearuWrP9MDH5MBPbIqV92AaeXatLxBI9gBaebbnrfifHhDYfgasaacH8bkY=wiFfYlOipiY=Hhbbf9v8qqaqFr0xc9vqpe0di9q8qqpG0dHiVcFbIOFHK8Feei0lXdar=Jb9qqFfeaYRXxe9vr0=vr0=LqpWqaaeaabiGaciaacaqabeaabeqacmaaaOqaaiqbdogaJzaalaGafm4AaSMbaSaaaaa@2DC9@ .

Then for t → 1, we find C = 93 ζ ( 5 ) 508 ζ ( 3 ) ρ MathType@MTEF@5@5@+=feaagaart1ev2aaatCvAUfKttLearuWrP9MDH5MBPbIqV92AaeXatLxBI9gBaebbnrfifHhDYfgasaacH8bkY=wiFfYlOipiY=Hhbbf9v8qqaqFr0xc9vqpe0di9q8qqpG0dHiVcFbIOFHK8Feei0lXdar=Jb9qqFfeaYRXxe9vr0=vr0=LqpWqaaeaabiGaciaacaqabeaabeqacmaaaOqaaiabdoeadjabg2da9iabgkHiTKqbaoaalaaabaGaeGyoaKJaeG4mamJaeqOTdONaeiikaGIaeGynauJaeiykaKcabaGaeGynauJaeGimaaJaeGioaGJaeqOTdONaeiikaGIaeG4mamJaeiykaKcaaOGaeqyWdihaaa@3E03@ and ρ = 2 7 ζ ( 3 ) ( ln t ) = 0.2377 ( ln t ) MathType@MTEF@5@5@+=feaagaart1ev2aaatCvAUfKttLearuWrP9MDH5MBPbIqV92AaeXatLxBI9gBaebbnrfifHhDYfgasaacH8bkY=wiFfYlOipiY=Hhbbf9v8qqaqFr0xc9vqpe0di9q8qqpG0dHiVcFbIOFHK8Feei0lXdar=Jb9qqFfeaYRXxe9vr0=vr0=LqpWqaaeaabiGaciaacaqabeaabeqacmaaaOqaaiabeg8aYjabg2da9KqbaoaalaaabaGaeGOmaidabaGaeG4naCJaeqOTdONaeiikaGIaeG4mamJaeiykaKcaaOGaeiikaGIaeyOeI0IagiiBaWMaeiOBa4MaemiDaqNaeiykaKIaeyypa0JaeGimaaJaeiOla4IaeGOmaiJaeG4mamJaeG4naCJaeG4naCJaeiikaGIaeyOeI0IagiiBaWMaeiOBa4MaemiDaqNaeiykaKcaaa@4918@ . While for t → 0 C = 3 2 β 0 ( 3 2 β 0 ) 2 + 1 12 = 0.0170129 MathType@MTEF@5@5@+=feaagaart1ev2aaatCvAUfKttLearuWrP9MDH5MBPbIqV92AaeXatLxBI9gBaebbnrfifHhDYfgasaacH8bkY=wiFfYlOipiY=Hhbbf9v8qqaqFr0xc9vqpe0di9q8qqpG0dHiVcFbIOFHK8Feei0lXdar=Jb9qqFfeaYRXxe9vr0=vr0=LqpWqaaeaabiGaciaacaqabeaabeqacmaaaOqaaiabdoeadjabg2da9KqbaoaalaaabaGaeG4mamdabaGaeGOmaiJaeqOSdi2aaSbaaeaacqaIWaamaeqaaaaakiabgkHiTmaakaaabaWaaeWaaKqbagaadaWcaaqaaiabiodaZaqaaiabikdaYiabek7aInaaBaaabaGaeGimaadabeaaaaaakiaawIcacaGLPaaadaahaaWcbeqaaiabikdaYaaakiabgUcaRKqbaoaalaaabaGaeGymaedabaGaeGymaeJaeGOmaidaaaWcbeaakiabg2da9iabgkHiTiabicdaWiabc6caUiabicdaWiabigdaXiabiEda3iabicdaWiabigdaXiabikdaYiabiMda5aaa@4A0D@ and ρ 0 = v b v c e H c 2 ( 0 ) 2 ( 2 π T c ) 2 = 1 4 γ MathType@MTEF@5@5@+=feaagaart1ev2aaatCvAUfKttLearuWrP9MDH5MBPbIqV92AaeXatLxBI9gBaebbnrfifHhDYfgasaacH8bkY=wiFfYlOipiY=Hhbbf9v8qqaqFr0xc9vqpe0di9q8qqpG0dHiVcFbIOFHK8Feei0lXdar=Jb9qqFfeaYRXxe9vr0=vr0=LqpWqaaeaabiGaciaacaqabeaabeqacmaaaOqaaiabeg8aYnaaBaaaleaacqaIWaamaeqaaOGaeyypa0tcfa4aaSaaaeaacqWG2bGDdaWgaaqaaiabdkgaIbqabaGaemODay3aaSbaaeaacqWGJbWyaeqaaiabdwgaLjabdIeainaaBaaabaGaem4yamMaeGOmaidabeaacqGGOaakcqaIWaamcqGGPaqkaeaacqaIYaGmcqGGOaakcqaIYaGmcqaHapaCcqWGubavdaWgaaqaaiabdogaJbqabaGaeiykaKYaaWbaaeqabaGaeGOmaidaaaaakiabg2da9KqbaoaalaaabaGaeGymaedabaGaeGinaqJaeq4SdCgaaaaa@4AF8@ , where α0 = -ln|s|2 = 0.220051 and β 0 = s 4 | s | 4 = 4 π 1 = 0.0170 MathType@MTEF@5@5@+=feaagaart1ev2aaatCvAUfKttLearuWrP9MDH5MBPbIqV92AaeXatLxBI9gBaebbnrfifHhDYfgasaacH8bkY=wiFfYlOipiY=Hhbbf9v8qqaqFr0xc9vqpe0di9q8qqpG0dHiVcFbIOFHK8Feei0lXdar=Jb9qqFfeaYRXxe9vr0=vr0=LqpWqaaeaabiGaciaacaqabeaabeqacmaaaOqaaiabek7aInaaBaaaleaacqaIWaamaeqaaOGaeyypa0JaeyOeI0IaeyykJeEcfa4aaSaaaeaacqWGZbWCdaahaaqabeaacqaI0aanaaaabaGaeiiFaWNaem4CamNaeiiFaW3aaWbaaeqabaGaeGinaqdaaaaakiabgQYiXlabg2da9KqbaoaalaaabaGaeGinaqdabaGaeqiWdahaaOGaeyOeI0IaeGymaeJaeyypa0JaeGimaaJaeiOla4IaeGimaaJaeGymaeJaeG4naCJaeGimaadaaa@48C6@ . From these we obtain h(0) = 0.73673.

Both h(t) and C(t) are evaluated numerically and we show them in Fig. 3a) and 3b) respectively.

Figure 3
figure3

Upper critical field for H | | a MathType@MTEF@5@5@+=feaagaart1ev2aaatCvAUfKttLearuWrP9MDH5MBPbIqV92AaeXatLxBI9gBaebbnrfifHhDYfgasaacH8bkY=wiFfYlOipiY=Hhbbf9v8qqaqFr0xc9vqpe0di9q8qqpG0dHiVcFbIOFHK8Feei0lXdar=Jb9qqFfeaYRXxe9vr0=vr0=LqpWqaaeaabiGaciaacaqabeaabeqacmaaaOqaaiqbdIeaizaalaGaeiiFaWNaeiiFaWNafmyyaeMbaSaaaaa@307F@ Normalised Hc2(t) and C(t) for H | | a MathType@MTEF@5@5@+=feaagaart1ev2aaatCvAUfKttLearuWrP9MDH5MBPbIqV92AaeXatLxBI9gBaebbnrfifHhDYfgasaacH8bkY=wiFfYlOipiY=Hhbbf9v8qqaqFr0xc9vqpe0di9q8qqpG0dHiVcFbIOFHK8Feei0lXdar=Jb9qqFfeaYRXxe9vr0=vr0=LqpWqaaeaabiGaciaacaqabeaabeqacmaaaOqaaiqbdIeaizaalaGaeiiFaWNaeiiFaWNafmyyaeMbaSaaaaa@307F@ are shown in a) and b) respectively. Here black, red, blue and green lines are chiral f'-wave, chiral f-wave, chiral p-wave and simple p-wave respectively.

Chiral p-wave SC: Δ ( k ) ~ ( 1 2 s g n ( k a ) + i sin χ 2 ) MathType@MTEF@5@5@+=feaagaart1ev2aaatCvAUfKttLearuWrP9MDH5MBPbIqV92AaeXatLxBI9gBaebbnrfifHhDYfgasaacH8bkY=wiFfYlOipiY=Hhbbf9v8qqaqFr0xc9vqpe0di9q8qqpG0dHiVcFbIOFHK8Feei0lXdar=Jb9qqFfeaYRXxe9vr0=vr0=LqpWqaaeaabiGaciaacaqabeaabeqacmaaaOqaaiabfs5aejabcIcaOiabdUgaRjabcMcaPiabc6ha+naabmaabaqcfa4aaSaaaeaacqaIXaqmaeaadaGcaaqaaiabikdaYaqabaaaaOGaem4CamNaem4zaCMaemOBa4MaeiikaGIaem4AaS2aaSbaaSqaaiabdggaHbqabaGccqGGPaqkcqGHRaWkcqWGPbqAcyGGZbWCcqGGPbqAcqGGUbGBcqaHhpWydaWgaaWcbaGaeGOmaidabeaaaOGaayjkaiaawMcaaaaa@471C@

Now Hc2(t) is determined by a similar set of equations as Ec. 10–11. Now, s = (sin χ1 + ι sin χ2). In particular we find for t → 1 C = -0.027735 and ρ = 0.212598(ln t) while for t → 0 C = -0.067684 and ρ0 = 0.139672. We obtain h(0) = 0.6566. We show h(t) and C(t) in Fig. 3a) and 3b) respectively.

Chiral f-wave SC: Δ ^ ( k ) ~ d ^ s cos χ 1 MathType@MTEF@5@5@+=feaagaart1ev2aaatCvAUfKttLearuWrP9MDH5MBPbIqV92AaeXatLxBI9gBaebbnrfifHhDYfgasaacH8bkY=wiFfYlOipiY=Hhbbf9v8qqaqFr0xc9vqpe0di9q8qqpG0dHiVcFbIOFHK8Feei0lXdar=Jb9qqFfeaYRXxe9vr0=vr0=LqpWqaaeaabiGaciaacaqabeaabeqacmaaaOqaaiqbfs5aezaajaGaeiikaGIaem4AaSMaeiykaKIaeiOFa4NafmizaqMbaKaacqWGZbWCcyGGJbWycqGGVbWBcqGGZbWCcqaHhpWydaWgaaWcbaGaeGymaedabeaaaaa@3AC9@

Again we use a similar set of equations as Ec. 12–13, with s = (sin χ1 + ι sin χ2), we find for t → 1 C = -0.0356236 and ρ = 0.2744495(ln t) while for t → 0 C = 0.066 and ρ0 = 0.1920 and h(0) = 0.6997. Both h(t) and C(t) are evaluated numerically and shown in Fig. 3a) and 3b).

Chiral f'-wave SC: Δ ^ ( k ) ~ d ^ s cos χ 2 MathType@MTEF@5@5@+=feaagaart1ev2aaatCvAUfKttLearuWrP9MDH5MBPbIqV92AaeXatLxBI9gBaebbnrfifHhDYfgasaacH8bkY=wiFfYlOipiY=Hhbbf9v8qqaqFr0xc9vqpe0di9q8qqpG0dHiVcFbIOFHK8Feei0lXdar=Jb9qqFfeaYRXxe9vr0=vr0=LqpWqaaeaabiGaciaacaqabeaabeqacmaaaOqaaiqbfs5aezaajaGaeiikaGIaem4AaSMaeiykaKIaeiOFa4NafmizaqMbaKaacqWGZbWCcyGGJbWycqGGVbWBcqGGZbWCcqaHhpWydaWgaaWcbaGaeGOmaidabeaaaaa@3ACB@

Now we find for t → 1 C = -0.05 and ρ = -0.2910(ln t), while for t → 0 C = -0.1019 and ρ0 = 0.2090.

We have shown again h(t) and C(t) in Fig. 3a) and 3b) respectively.

Comparing these results with Hc2(T) from (TMTSF)2PF6 and (TMTSF)2ClO4 [4, 5], we can conclude that for both H | | b MathType@MTEF@5@5@+=feaagaart1ev2aaatCvAUfKttLearuWrP9MDH5MBPbIqV92AaeXatLxBI9gBaebbnrfifHhDYfgasaacH8bkY=wiFfYlOipiY=Hhbbf9v8qqaqFr0xc9vqpe0di9q8qqpG0dHiVcFbIOFHK8Feei0lXdar=Jb9qqFfeaYRXxe9vr0=vr0=LqpWqaaeaabiGaciaacaqabeaabeqacmaaaOqaaiqbdIeaizaalaGaeiiFaWNaeiiFaWNafmOyaiMbaSGbauaaaaa@308C@ and H | | a MathType@MTEF@5@5@+=feaagaart1ev2aaatCvAUfKttLearuWrP9MDH5MBPbIqV92AaeXatLxBI9gBaebbnrfifHhDYfgasaacH8bkY=wiFfYlOipiY=Hhbbf9v8qqaqFr0xc9vqpe0di9q8qqpG0dHiVcFbIOFHK8Feei0lXdar=Jb9qqFfeaYRXxe9vr0=vr0=LqpWqaaeaabiGaciaacaqabeaabeqacmaaaOqaaiqbdIeaizaalaGaeiiFaWNaeiiFaWNafmyyaeMbaSaaaaa@307F@ , the chiral f'-wave SC is most consistent with experimental data. In particular these states have relatively large h(0) (see Table 1). On the other hand almost the same Hc2(0) for H | | b MathType@MTEF@5@5@+=feaagaart1ev2aaatCvAUfKttLearuWrP9MDH5MBPbIqV92AaeXatLxBI9gBaebbnrfifHhDYfgasaacH8bkY=wiFfYlOipiY=Hhbbf9v8qqaqFr0xc9vqpe0di9q8qqpG0dHiVcFbIOFHK8Feei0lXdar=Jb9qqFfeaYRXxe9vr0=vr0=LqpWqaaeaabiGaciaacaqabeaabeqacmaaaOqaaiqbdIeaizaalaGaeiiFaWNaeiiFaWNafmOyaiMbaSGbauaaaaa@308C@ and H | | a MathType@MTEF@5@5@+=feaagaart1ev2aaatCvAUfKttLearuWrP9MDH5MBPbIqV92AaeXatLxBI9gBaebbnrfifHhDYfgasaacH8bkY=wiFfYlOipiY=Hhbbf9v8qqaqFr0xc9vqpe0di9q8qqpG0dHiVcFbIOFHK8Feei0lXdar=Jb9qqFfeaYRXxe9vr0=vr0=LqpWqaaeaabiGaciaacaqabeaabeqacmaaaOqaaiqbdIeaizaalaGaeiiFaWNaeiiFaWNafmyyaeMbaSaaaaa@307F@ has to be still accounted.

Table 1 Summary of results. Here ρ 0 ( 0 ) = v ^ 2 e H c 2 ( 0 ) 2 ( 2 π T c ) 2 MathType@MTEF@5@5@+=feaagaart1ev2aaatCvAUfKttLearuWrP9MDH5MBPbIqV92AaeXatLxBI9gBaebbnrfifHhDYfgasaacH8bkY=wiFfYlOipiY=Hhbbf9v8qqaqFr0xc9vqpe0di9q8qqpG0dHiVcFbIOFHK8Feei0lXdar=Jb9qqFfeaYRXxe9vr0=vr0=LqpWqaaeaabiGaciaacaqabeaabeqacmaaaOqaaiabeg8aYnaaBaaaleaacqaIWaamaeqaaOGaeiikaGIaeGimaaJaeiykaKIaeyypa0tcfa4aaSaaaeaacuWG2bGDgaqcamaaCaaabeqaaiabikdaYaaacqWGLbqzcqWGibasdaWgaaqaaiabdogaJjabikdaYaqabaGaeiikaGIaeGimaaJaeiykaKcabaGaeGOmaiJaeiikaGIaeGOmaiJaeqiWdaNaemivaq1aaSbaaeaacqWGJbWyaeqaaiabcMcaPmaaCaaabeqaaiabikdaYaaaaaaaaa@452E@ and h ( 0 ) = H c 2 ( 0 ) H c 2 ( t ) t | t = 1 MathType@MTEF@5@5@+=feaagaart1ev2aaatCvAUfKttLearuWrP9MDH5MBPbIqV92AaeXatLxBI9gBaebbnrfifHhDYfgasaacH8bkY=wiFfYlOipiY=Hhbbf9v8qqaqFr0xc9vqpe0di9q8qqpG0dHiVcFbIOFHK8Feei0lXdar=Jb9qqFfeaYRXxe9vr0=vr0=LqpWqaaeaabiGaciaacaqabeaabeqacmaaaOqaaiabdIgaOjabcIcaOiabicdaWiabcMcaPiabg2da9KqbaoaalaaabaGaemisaG0aaSbaaeaacqWGJbWycqaIYaGmaeqaaiabcIcaOiabicdaWiabcMcaPaqaamaalaaabaGaeyOaIyRaemisaG0aaSbaaeaacqWGJbWycqaIYaGmaeqaaiabcIcaOiabdsha0jabcMcaPaqaaiabgkGi2kabdsha0baacqGG8baFdaWgaaqaaiabdsha0bqabaGaeyypa0JaeGymaedaaaaa@46A2@

Nodal lines in Δ( k MathType@MTEF@5@5@+=feaagaart1ev2aaatCvAUfKttLearuWrP9MDH5MBPbIqV92AaeXatLxBI9gBaebbnrfifHhDYfgasaacH8bkY=wiFfYlOipiY=Hhbbf9v8qqaqFr0xc9vqpe0di9q8qqpG0dHiVcFbIOFHK8Feei0lXdar=Jb9qqFfeaYRXxe9vr0=vr0=LqpWqaaeaabiGaciaacaqabeaabeqacmaaaOqaaiqbdUgaRzaalaaaaa@2C68@ )

We have seen that from the temperature dependence of Hc2(T), we can deduce the chiral f-wave and chiral f'-wave superconductors are the most favourable candidates. They have nodal lines on the Fermi surface (i.e. the χ1 - χ2 plane), the chiral f-wave SC at χ1 = ± π 2 MathType@MTEF@5@5@+=feaagaart1ev2aaatCvAUfKttLearuWrP9MDH5MBPbIqV92AaeXatLxBI9gBaebbnrfifHhDYfgasaacH8bkY=wiFfYlOipiY=Hhbbf9v8qqaqFr0xc9vqpe0di9q8qqpG0dHiVcFbIOFHK8Feei0lXdar=Jb9qqFfeaYRXxe9vr0=vr0=LqpWqaaeaabiGaciaacaqabeaabeqacmaaaOqaaiabgglaXMqbaoaalaaabaGaeqiWdahabaGaeGOmaidaaaaa@3032@ , while chiral f'-wave SC at χ2 = ± π 2 MathType@MTEF@5@5@+=feaagaart1ev2aaatCvAUfKttLearuWrP9MDH5MBPbIqV92AaeXatLxBI9gBaebbnrfifHhDYfgasaacH8bkY=wiFfYlOipiY=Hhbbf9v8qqaqFr0xc9vqpe0di9q8qqpG0dHiVcFbIOFHK8Feei0lXdar=Jb9qqFfeaYRXxe9vr0=vr0=LqpWqaaeaabiGaciaacaqabeaabeqacmaaaOqaaiabgglaXMqbaoaalaaabaGaeqiWdahabaGaeGOmaidaaaaa@3032@ .

These nodal lines may be detected if the nuclear spin relaxation rate is measured in a magnetic field rotated within the b' - c* plane.

Following the standard procedure given in [21], the quasiparticle density of states in the vortex state for T <<T c and E = 0 is given by

N ( 0 , H ) = 2 π 2 v 2 e H ( 1 + cos θ 2 sin χ 10 2 ) 1 2 MathType@MTEF@5@5@+=feaagaart1ev2aaatCvAUfKttLearuWrP9MDH5MBPbIqV92AaeXatLxBI9gBaebbnrfifHhDYfgasaacH8bkY=MipeYlH8Hipec8Eeeu0xXdbba9frFj0xb9Lqpepeea0xd9q8qiYRWxGi6xij=hbbc9s8aq0=yqpe0xbbG8A8frFve9Fve9Fj0dmeaabaqaciGacaGaaeqabaqabeGadaaakeaacqWGobGtdaqadaqaaiabicdaWiabcYcaSiqbdIeaizaalaaacaGLOaGaayzkaaGaeyypa0tcfa4aaSaaaeaacqaIYaGmaeaacqaHapaCdaahaaqabeaacqaIYaGmaaaaaOGaemODay3aaWbaaSqabeaacqaIYaGmaaGcdaGcaaqaaiabdwgaLjabdIeaibWcbeaakmaabmaabaGaeGymaeJaey4kaSIagi4yamMaei4Ba8Maei4CamNaeqiUde3aaWbaaSqabeaacqaIYaGmaaGccyGGZbWCcqGGPbqAcqGGUbGBcqaHhpWydaqhaaWcbaGaeGymaeJaeGimaadabaGaeGOmaidaaaGccaGLOaGaayzkaaWaaWbaaSqabKqbagaadaWcaaqaaiabigdaXaqaaiabikdaYaaaaaaaaa@5094@
(16)

where χ10 is the position of the nodal line (i.e. the angle that defines the line on which Δ(k) = 0). So for the chiral f-wave SC we find χ10 = π 2 MathType@MTEF@5@5@+=feaagaart1ev2aaatCvAUfKttLearuWrP9MDH5MBPbIqV92AaeXatLxBI9gBaebbnrfifHhDYfgasaacH8bkY=wiFfYlOipiY=Hhbbf9v8qqaqFr0xc9vqpe0di9q8qqpG0dHiVcFbIOFHK8Feei0lXdar=Jb9qqFfeaYRXxe9vr0=vr0=LqpWqaaeaabiGaciaacaqabeaabeqacmaaaOqaaKqbaoaalaaabaGaeqiWdahabaGaeGOmaidaaaaa@2E44@ and N (0, H MathType@MTEF@5@5@+=feaagaart1ev2aaatCvAUfKttLearuWrP9MDH5MBPbIqV92AaeXatLxBI9gBaebbnrfifHhDYfgasaacH8bkY=wiFfYlOipiY=Hhbbf9v8qqaqFr0xc9vqpe0di9q8qqpG0dHiVcFbIOFHK8Feei0lXdar=Jb9qqFfeaYRXxe9vr0=vr0=LqpWqaaeaabiGaciaacaqabeaabeqacmaaaOqaaiqbdIeaizaalaaaaa@2C22@ ) exhibits the simple angular dependence. On the other hand when nodal lines are on the χ2 axis, the θ dependence will be too small to see. Finally this gives

T 1 1 ( H ) / T 1 N 1 = ( 2 π 2 ) 2 v 2 ( e H ) ( 1 + cos θ 2 ) MathType@MTEF@5@5@+=feaagaart1ev2aaatCvAUfKttLearuWrP9MDH5MBPbIqV92AaeXatLxBI9gBaebbnrfifHhDYfgasaacH8bkY=MipeYlH8Hipec8Eeeu0xXdbba9frFj0xb9Lqpepeea0xd9q8qiYRWxGi6xij=hbbc9s8aq0=yqpe0xbbG8A8frFve9Fve9Fj0dmeaabaqaciGacaGaaeqabaqabeGadaaakeaacqWGubavdaqhaaWcbaGaeGymaedabaGaeyOeI0IaeGymaedaaOGaeiikaGIafmisaGKbaSaacqGGPaqkcqGGVaWlcqWGubavdaqhaaWcbaGaeGymaeJaemOta4eabaGaeyOeI0IaeGymaedaaOGaeyypa0ZaaeWaaKqbagaadaWcaaqaaiabikdaYaqaaiabec8aWnaaCaaabeqaaiabikdaYaaaaaaakiaawIcacaGLPaaadaahaaWcbeqaaiabikdaYaaakiqbdAha2zaalaWaaWbaaSqabeaacqaIYaGmaaGccqGGOaakcqWGLbqzcqWGibascqGGPaqkdaqadaqaaiabigdaXiabgUcaRiGbcogaJjabc+gaVjabcohaZjabeI7aXnaaCaaaleqabaGaeGOmaidaaaGccaGLOaGaayzkaaaaaa@50F7@
(17)

for the chiral f-wave SC.

We show the θ dependence of T 1 1 MathType@MTEF@5@5@+=feaagaart1ev2aaatCvAUfKttLearuWrP9MDH5MBPbIqV92AaeXatLxBI9gBaebbnrfifHhDYfgasaacH8bkY=wiFfYlOipiY=Hhbbf9v8qqaqFr0xc9vqpe0di9q8qqpG0dHiVcFbIOFHK8Feei0lXdar=Jb9qqFfeaYRXxe9vr0=vr0=LqpWqaaeaabiGaciaacaqabeaabeqacmaaaOqaaiabdsfaunaaDaaaleaacqaIXaqmaeaacqGHsislcqaIXaqmaaaaaa@2F22@ in Fig. 4 for a few candidates. The chiral f-wave SC has the strongest θ dependence (solid line) while the chiral h-wave SC (dashed line) and the chiral p-wave SC (dotted line) have a similar θ dependence.

Figure 4
figure4

Nuclear spin relaxation rate. The angle dependent nuclear spin relaxation rate for a few nodal superconductors is shown. Chiral f-wave, chiral h-wave and chiral p-wave are represented in red, blue and black lines respectively. If the nodes lie parallel to χ1, then it is invisible to NMR, so chiral f'-wave gives the same results as chiral f-wave.

Conclusion

We have computed the upper critical field of Bechgaard salts for a variety of nodal superconductors with the standard microscopic theory. The results are shown in Fig. 2 and 3. We find:

a) Assuming all these superconductors have the same T c , the chiral f'-wave SC ( Δ ( k ) ~ ( 1 2 s g n ( K a ) + i sin χ 2 ) cos χ 2 ) MathType@MTEF@5@5@+=feaagaart1ev2aaatCvAUfKttLearuWrP9MDH5MBPbIqV92AaeXatLxBI9gBaebbnrfifHhDYfgasaacH8bkY=wiFfYlOipiY=Hhbbf9v8qqaqFr0xc9vqpe0di9q8qqpG0dHiVcFbIOFHK8Feei0lXdar=Jb9qqFfeaYRXxe9vr0=vr0=LqpWqaaeaabiGaciaacaqabeaabeqacmaaaOqaaiabcIcaOiqbfs5aezaalaGaeiikaGIaem4AaSMaeiykaKIaeiOFa43aaeWaaeaajuaGdaWcaaqaaiabigdaXaqaamaakaaabaGaeGOmaidabeaaaaGccqWGZbWCcqWGNbWzcqWGUbGBcqGGOaakcqWGlbWsdaWgaaWcbaGaemyyaegabeaakiabcMcaPiabgUcaRiabdMgaPjGbcohaZjabcMgaPjabc6gaUjabeE8aJnaaBaaaleaacqaIYaGmaeqaaaGccaGLOaGaayzkaaGagi4yamMaei4Ba8Maei4CamNaeq4Xdm2aaSbaaSqaaiabikdaYaqabaGccqGGPaqkaaa@4FA3@ appears to be the most favourable with largest Hc2's for both H | | b MathType@MTEF@5@5@+=feaagaart1ev2aaatCvAUfKttLearuWrP9MDH5MBPbIqV92AaeXatLxBI9gBaebbnrfifHhDYfgasaacH8bkY=wiFfYlOipiY=Hhbbf9v8qqaqFr0xc9vqpe0di9q8qqpG0dHiVcFbIOFHK8Feei0lXdar=Jb9qqFfeaYRXxe9vr0=vr0=LqpWqaaeaabiGaciaacaqabeaabeqacmaaaOqaaiqbdIeaizaalaGaeiiFaWNaeiiFaWNafmOyaiMbaSGbauaaaaa@308C@ and H | | a MathType@MTEF@5@5@+=feaagaart1ev2aaatCvAUfKttLearuWrP9MDH5MBPbIqV92AaeXatLxBI9gBaebbnrfifHhDYfgasaacH8bkY=wiFfYlOipiY=Hhbbf9v8qqaqFr0xc9vqpe0di9q8qqpG0dHiVcFbIOFHK8Feei0lXdar=Jb9qqFfeaYRXxe9vr0=vr0=LqpWqaaeaabiGaciaacaqabeaabeqacmaaaOqaaiqbdIeaizaalaGaeiiFaWNaeiiFaWNafmyyaeMbaSaaaaa@307F@ .

b) However, non of these states exhibit the quasilinear temperature dependence of Hc2(T) as observed in [3].

c) Also the present theory predicts Hc2(0) ~ (v a v c )-1 and (v b v c )-1 for H | | b MathType@MTEF@5@5@+=feaagaart1ev2aaatCvAUfKttLearuWrP9MDH5MBPbIqV92AaeXatLxBI9gBaebbnrfifHhDYfgasaacH8bkY=wiFfYlOipiY=Hhbbf9v8qqaqFr0xc9vqpe0di9q8qqpG0dHiVcFbIOFHK8Feei0lXdar=Jb9qqFfeaYRXxe9vr0=vr0=LqpWqaaeaabiGaciaacaqabeaabeqacmaaaOqaaiqbdIeaizaalaGaeiiFaWNaeiiFaWNafmOyaiMbaSGbauaaaaa@308C@ and H | | a MathType@MTEF@5@5@+=feaagaart1ev2aaatCvAUfKttLearuWrP9MDH5MBPbIqV92AaeXatLxBI9gBaebbnrfifHhDYfgasaacH8bkY=wiFfYlOipiY=Hhbbf9v8qqaqFr0xc9vqpe0di9q8qqpG0dHiVcFbIOFHK8Feei0lXdar=Jb9qqFfeaYRXxe9vr0=vr0=LqpWqaaeaabiGaciaacaqabeaabeqacmaaaOqaaiqbdIeaizaalaGaeiiFaWNaeiiFaWNafmyyaeMbaSaaaaa@307F@ respectively. This means Hc2(0) for H | | a MathType@MTEF@5@5@+=feaagaart1ev2aaatCvAUfKttLearuWrP9MDH5MBPbIqV92AaeXatLxBI9gBaebbnrfifHhDYfgasaacH8bkY=wiFfYlOipiY=Hhbbf9v8qqaqFr0xc9vqpe0di9q8qqpG0dHiVcFbIOFHK8Feei0lXdar=Jb9qqFfeaYRXxe9vr0=vr0=LqpWqaaeaabiGaciaacaqabeaabeqacmaaaOqaaiqbdIeaizaalaGaeiiFaWNaeiiFaWNafmyyaeMbaSaaaaa@307F@ is about 5 time larger than the one for H | | b MathType@MTEF@5@5@+=feaagaart1ev2aaatCvAUfKttLearuWrP9MDH5MBPbIqV92AaeXatLxBI9gBaebbnrfifHhDYfgasaacH8bkY=wiFfYlOipiY=Hhbbf9v8qqaqFr0xc9vqpe0di9q8qqpG0dHiVcFbIOFHK8Feei0lXdar=Jb9qqFfeaYRXxe9vr0=vr0=LqpWqaaeaabiGaciaacaqabeaabeqacmaaaOqaaiqbdIeaizaalaGaeiiFaWNaeiiFaWNafmOyaiMbaSGbauaaaaa@308C@ contrary to observation.

d) From Hc2(0) ~ 5T and T c = 1.5 K we can extract v2 = v 2 = v a v c ~ 1.510 4 MathType@MTEF@5@5@+=feaagaart1ev2aaatCvAUfKttLearuWrP9MDH5MBPbIqV92AaeXatLxBI9gBaebbnrfifHhDYfgasaacH8bkY=wiFfYlOipiY=Hhbbf9v8qqaqFr0xc9vqpe0di9q8qqpG0dHiVcFbIOFHK8Feei0lXdar=Jb9qqFfeaYRXxe9vr0=vr0=LqpWqaaeaabiGaciaacaqabeaabeqacmaaaOqaaiabdAha2naaCaaaleqabaGaeGOmaidaaOGaeyypa0ZaaOaaaeaacqWG2bGDdaWgaaWcbaGaemyyaegabeaakiabdAha2naaBaaaleaacqWGJbWyaeqaaaqabaGccqGG+bGFcqaIXaqmcqGGUaGlcqaI1aqncqaIXaqmcqaIWaamdaahaaWcbeqaaiabisda0aaaaaa@3BEC@ ~ 1.5104 cm s-1, consistent with the known values of v a , v c .

We have also shown that the nodal lines should be visible through the angle dependent T 1 1 MathType@MTEF@5@5@+=feaagaart1ev2aaatCvAUfKttLearuWrP9MDH5MBPbIqV92AaeXatLxBI9gBaebbnrfifHhDYfgasaacH8bkY=wiFfYlOipiY=Hhbbf9v8qqaqFr0xc9vqpe0di9q8qqpG0dHiVcFbIOFHK8Feei0lXdar=Jb9qqFfeaYRXxe9vr0=vr0=LqpWqaaeaabiGaciaacaqabeaabeqacmaaaOqaaiabdsfaunaaDaaaleaacqaIXaqmaeaacqGHsislcqaIXaqmaaaaaa@2F22@ in NMR with the magnetic field rotating in the c*-b' plane.

References

  1. 1.

    Jerome D, Mazard A, Ribault M, Bechgaard K: J Phys Lett (Paris). 1980, 47: L95-

    Article  Google Scholar 

  2. 2.

    Ishiguro T, Yamaji K, Saito G: Organic Superconductors. 1998, Berlin: Springer-Verlag

    Book  Google Scholar 

  3. 3.

    Maki K, Haas S, Parker D, Won H: Chinease J Phys. 2005, 43: 532-

    ADS  Google Scholar 

  4. 4.

    Lee IJ, Chaikin PM, Naughton MJ: Phys Rev B. 2002, 65: R180502-10.1103/PhysRevB.65.180502.

    Article  ADS  Google Scholar 

  5. 5.

    Oh JI, Naughton MJ: Phys Rev Lett. 2004, 92: 067001-10.1103/PhysRevLett.92.067001.

    Article  ADS  Google Scholar 

  6. 6.

    Clogston AM: Phys Rev Lett. 1962, 9: 266-10.1103/PhysRevLett.9.266.

    Article  ADS  Google Scholar 

  7. 7.

    Chandrasekhar BS: Appl Phys Lett. 1962, 1: 7-10.1063/1.1777362.

    Article  ADS  Google Scholar 

  8. 8.

    Lee IJ, Brown SE, Clark WG, Strouse MJ, Naughton MJ, Kang W, Chaikin PM: Phys Rev Lett. 2002, 88: 017004-10.1103/PhysRevLett.88.017004.

    Article  ADS  Google Scholar 

  9. 9.

    Lee IJ, Brown S, Naughton MJ: J Phys Soc Jpn. 2006, 75: 051011-10.1143/JPSJ.75.051011.

    Article  ADS  Google Scholar 

  10. 10.

    Gor'kov LP: Soviet Phys JETP. 1960, 10: 59-

    Google Scholar 

  11. 11.

    Luk'yanchuk I, Mineev VP: Soviet Phys JETP. 1987, 66: 1168-

    Google Scholar 

  12. 12.

    Grant PM: J Phys. 1983, 44 C3: 847-

    Google Scholar 

  13. 13.

    Lebed AG: JETP Lett. 1986, 44: 114-

    ADS  Google Scholar 

  14. 14.

    Dupuis N, Montambaux G, Sá de Mello EAR: Phys Rev Lett. 1993, 70: 2613-10.1103/PhysRevLett.70.2613.

    Article  ADS  Google Scholar 

  15. 15.

    Kuroki K, Arita R, Aoki H: Phys Rev B. 2001, 63: 094509-10.1103/PhysRevB.63.094509.

    Article  ADS  Google Scholar 

  16. 16.

    Sigrist M, Ueda K: Rev Mod Phys. 1991, 63: 239-10.1103/RevModPhys.63.239.

    Article  ADS  Google Scholar 

  17. 17.

    Won H, Maki K: Europhys Lett. 1995, 30: 421-10.1209/0295-5075/30/7/008.

    Article  ADS  Google Scholar 

  18. 18.

    Won H, Maki K: Phys Rev B. 1996, 53: 5927-10.1103/PhysRevB.53.5927.

    Article  ADS  Google Scholar 

  19. 19.

    Abrikosov AA: Soviet Phys JETP. 1957, 5: 1174-

    Google Scholar 

  20. 20.

    Wang GF, Maki K: Europhysic Lett. 1999, 45: 71-10.1209/epl/i1999-00133-6.

    Article  ADS  Google Scholar 

  21. 21.

    Wong H, Haas S, Parker D, Telang S, Vanyolos A, Maki K: BCS theory of nodal superconductors. Lectures on the Physics of Highly Correlated Electron Systems IX. Edited by: Avella A, Mancini F. 2005, AIP

    Google Scholar 

Download references

Acknowledgements

We thank S. Brown, P. Chaikin, S. Haas and H. Won for useful discussion. ADF also acknowledges gratefully the discussion with J. Ferrer and F. Guinea. The authors would also like to aknowledge the useful comments of the reviewers during the correction process.

Author information

Affiliations

Authors

Corresponding author

Correspondence to Ana D Folgueras.

Authors’ original submitted files for images

Rights and permissions

Open Access This is an open access article distributed under the terms of the Creative Commons Attribution Noncommercial License (https://creativecommons.org/licenses/by-nc/2.0), which permits any noncommercial use, distribution, and reproduction in any medium, provided the original author(s) and source are credited.

Reprints and Permissions

About this article

Cite this article

Folgueras, A.D., Maki, K. Upper critical field Hc2 in Bechgaard salts (TMTSF)2PF6. PMC Phys B 1, 19 (2008). https://doi.org/10.1186/1754-0429-1-19

Download citation

Keywords

  • Landau Level
  • Critical Field
  • Nodal Line
  • TMTSF
  • Chiral State